Open Access

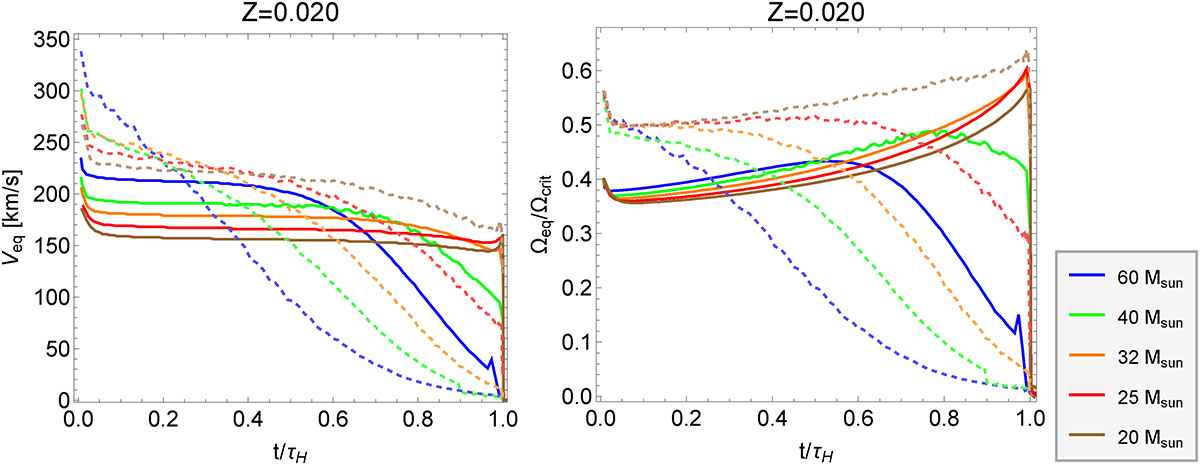
Fig. 2.

image

Download original image

Evolution of the rotational velocity expressed as absolute magnitude vrot (left panel) and of the angular velocity as a fraction of the critical velocity Ω/Ωcrit (right panel) as a function of the H-core burning lifetime τH. The solid and dashed lines represent new and old models, respectively, as in Fig. 1.

Current usage metrics show cumulative count of Article Views (full-text article views including HTML views, PDF and ePub downloads, according to the available data) and Abstracts Views on Vision4Press platform.

Data correspond to usage on the plateform after 2015. The current usage metrics is available 48-96 hours after online publication and is updated daily on week days.

Initial download of the metrics may take a while.