Open Access

Fig. 12

image

Download original image

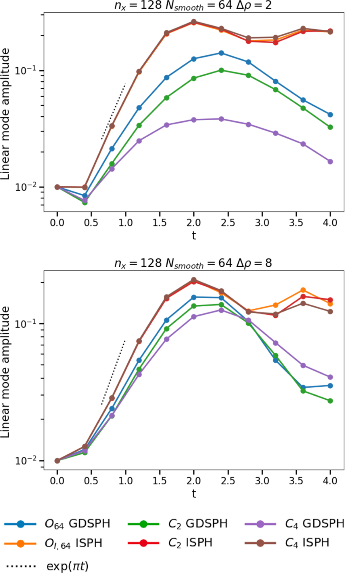
Amplitude of the k = mode over time for different smoothing kernels and density contrasts: ∆ρ = 2 (top) and ∆ρ = 8 (bottom). The ISPH method shows little difference between the different smoothing kernels, capturing a growth rate of roughly γπ in ∆ρ = 2 case and a slightly lower growth rate for ∆ρ = 8 (as expected). The GDSPH method of Nsmooth = 64 struggles to capture the same growth rate as the ISPH method, but we observed that the optimized kernel improves the growth rate of the KH mode for both ∆ρ = 2 and ∆ρ = 8.

Current usage metrics show cumulative count of Article Views (full-text article views including HTML views, PDF and ePub downloads, according to the available data) and Abstracts Views on Vision4Press platform.

Data correspond to usage on the plateform after 2015. The current usage metrics is available 48-96 hours after online publication and is updated daily on week days.

Initial download of the metrics may take a while.