Open Access

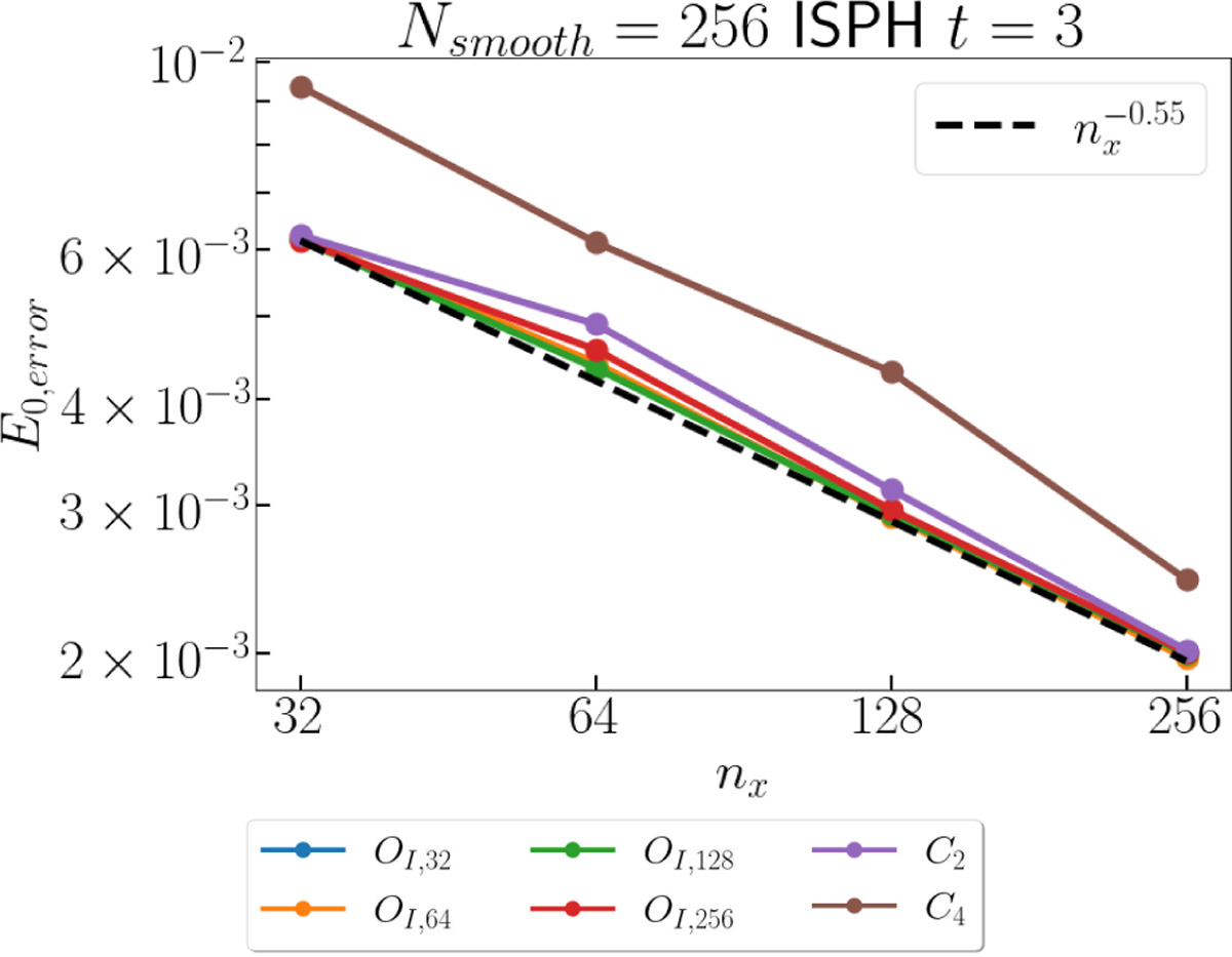
Fig. 9

image

Download original image

Convergence study of the Gresho-Chan vortex with the ISPH method for Nsmooth = 256. Here we plot the E0 error versus the number of resolution elements in the x direction (nx) at t = 3. Much lower zeroth order errors for the optimized kernel and C2 kernel can be seen compared to the higher order C4 kernel. Note here that even though being zeroth order (dependent on local particle order), the error still decreases with increasing resolution (nx0.55$n_x^{-0.55}$) because the particle distribution becomes more uniform at higher resolution.

Current usage metrics show cumulative count of Article Views (full-text article views including HTML views, PDF and ePub downloads, according to the available data) and Abstracts Views on Vision4Press platform.

Data correspond to usage on the plateform after 2015. The current usage metrics is available 48-96 hours after online publication and is updated daily on week days.

Initial download of the metrics may take a while.