Open Access

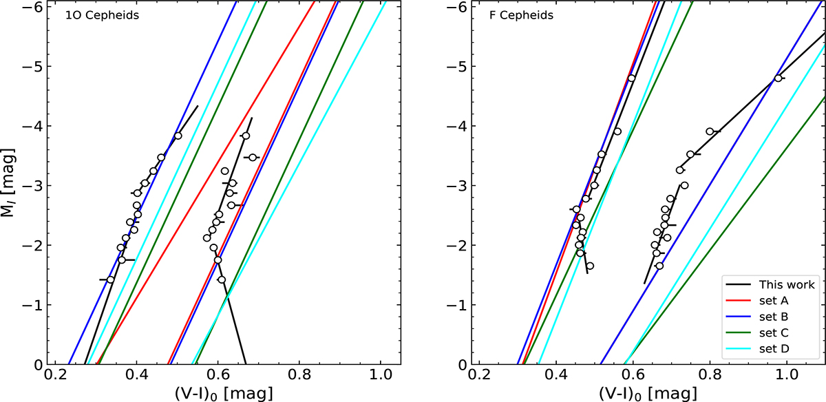
Fig. 11.

image

Download original image

Comparison of theoretical ISs for Z = 0.002 presented in Deka et al. (2024) and our empirical IS (black lines and black points with white centers) in a CMD. The ISs of 1O Cepheids are shown in the left panel, while ISs of F Cepheids are shown in the right panel. The different colors represent the sets of RSP convective parameters considered by the authors.

Current usage metrics show cumulative count of Article Views (full-text article views including HTML views, PDF and ePub downloads, according to the available data) and Abstracts Views on Vision4Press platform.

Data correspond to usage on the plateform after 2015. The current usage metrics is available 48-96 hours after online publication and is updated daily on week days.

Initial download of the metrics may take a while.