Open Access

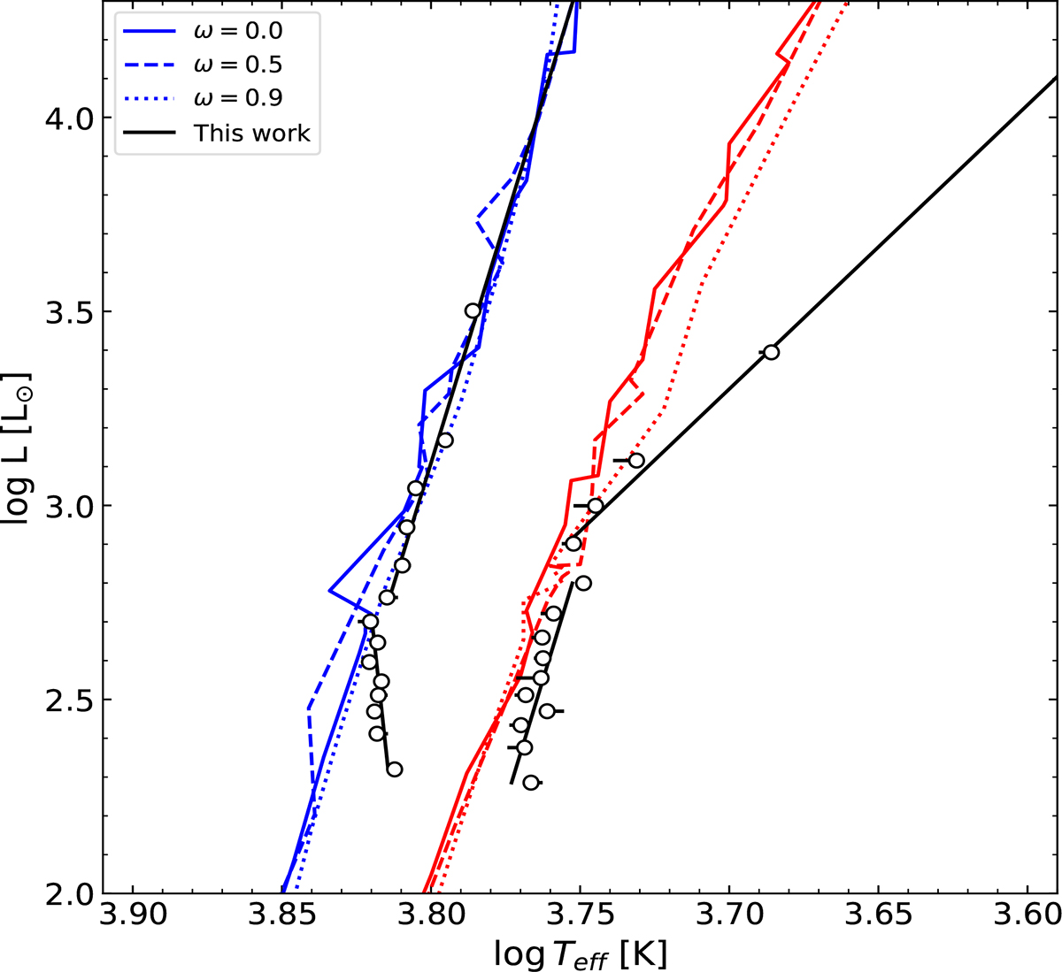
Fig. 9.

image

Download original image

Comparison of theoretical F ISs presented in Anderson et al. (2016) (blue and red) and our empirical IS (black lines and black points with white centers) in an HRD. The different line styles represent different rotation rates ω, expressed as a fraction of critical velocity on ZAMS.

Current usage metrics show cumulative count of Article Views (full-text article views including HTML views, PDF and ePub downloads, according to the available data) and Abstracts Views on Vision4Press platform.

Data correspond to usage on the plateform after 2015. The current usage metrics is available 48-96 hours after online publication and is updated daily on week days.

Initial download of the metrics may take a while.