Open Access

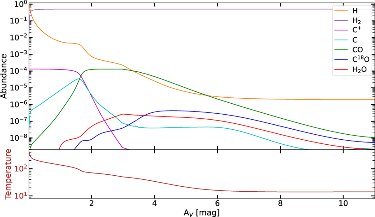
Fig. 10

image

Download original image

Abundances of key species with respect to hydrogen nuclei (top panel) and gas temperature (bottom panel) profiles of the Horsehead nebula model with Pth = 4 × 106 K cm−3, G0 = 100, computed with the Meudon PDR code (no wrapping or convolution procedure is applied to these profiles). The H/H2 transition can be seen to take place at around AV ~ 0.06 mag, the C+/C/CO transition is at AV ~ 1.7 mag, and the peak of H2O abundance is reached at an AV ~ 3 mag.

Current usage metrics show cumulative count of Article Views (full-text article views including HTML views, PDF and ePub downloads, according to the available data) and Abstracts Views on Vision4Press platform.

Data correspond to usage on the plateform after 2015. The current usage metrics is available 48-96 hours after online publication and is updated daily on week days.

Initial download of the metrics may take a while.