Open Access

Fig. 6

image

Download original image

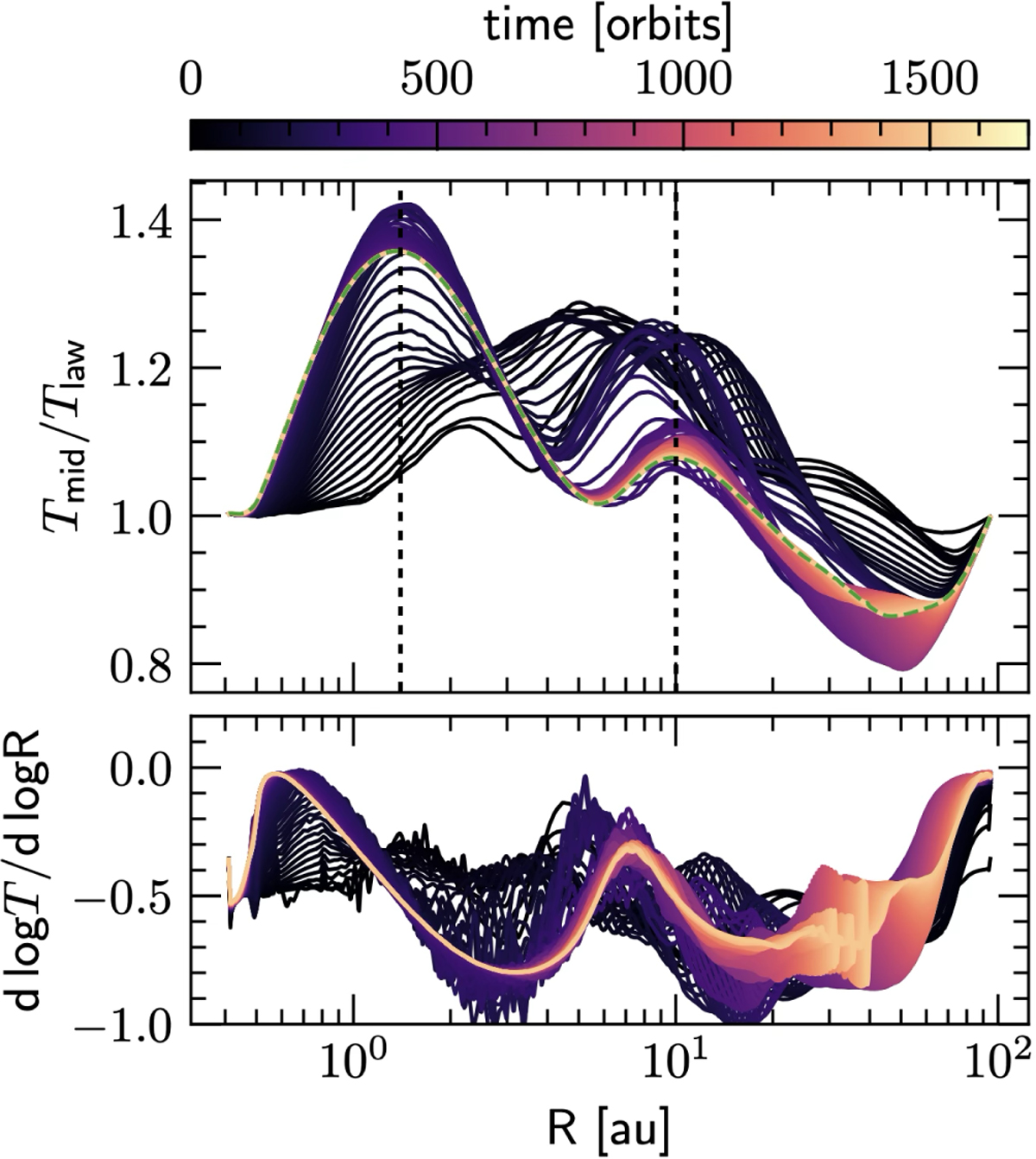
Top: time evolution of the temperature profile at the disk midplane against the background power law. The dashed lines (the first corresponds to the opacity transition) indicate the final locations of the temperature bumps. Bottom: time evolution of the radial temperature gradient indicating a less steep profile at the shadow locations and no sign flip.

Current usage metrics show cumulative count of Article Views (full-text article views including HTML views, PDF and ePub downloads, according to the available data) and Abstracts Views on Vision4Press platform.

Data correspond to usage on the plateform after 2015. The current usage metrics is available 48-96 hours after online publication and is updated daily on week days.

Initial download of the metrics may take a while.