Open Access

Fig. 2.

image

Download original image

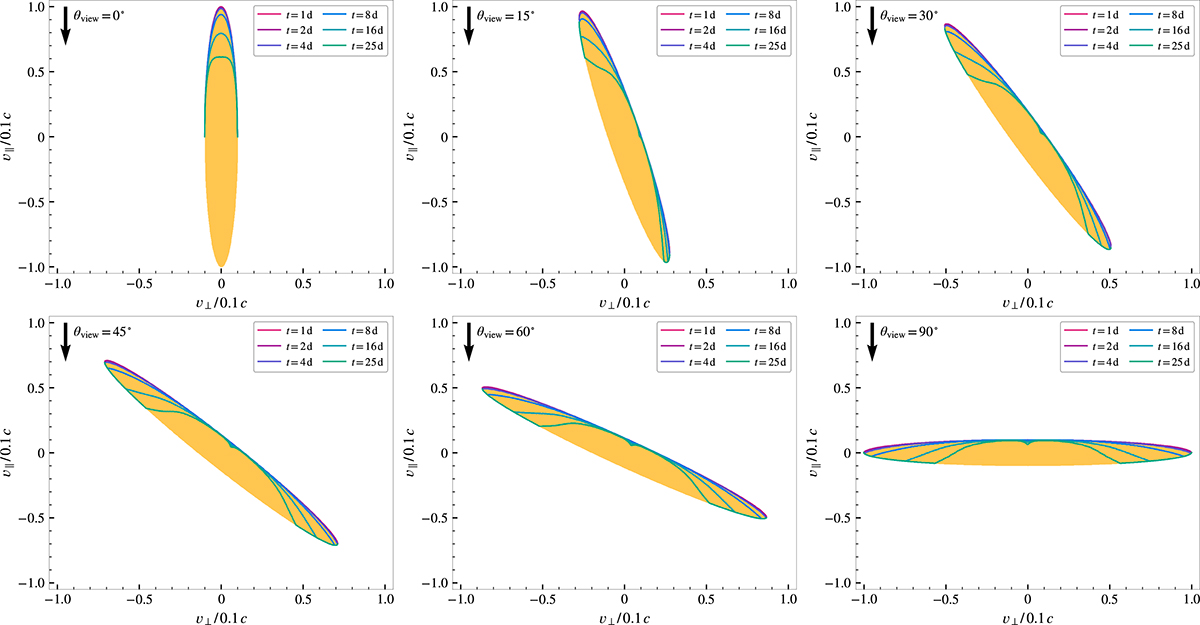
Sectional views of the photosphere evolution in velocity space for our fiducial model, as seen by observers at different viewing angles. The line of sight is oriented vertically downward in each plane, and only the cross-section through the ejecta center is shown. Here, v and v represent the velocity components parallel and perpendicular to the line of sight, respectively. Colored lines indicate the photospheric contours at various epochs following the WD–NS merger.

Current usage metrics show cumulative count of Article Views (full-text article views including HTML views, PDF and ePub downloads, according to the available data) and Abstracts Views on Vision4Press platform.

Data correspond to usage on the plateform after 2015. The current usage metrics is available 48-96 hours after online publication and is updated daily on week days.

Initial download of the metrics may take a while.