Open Access

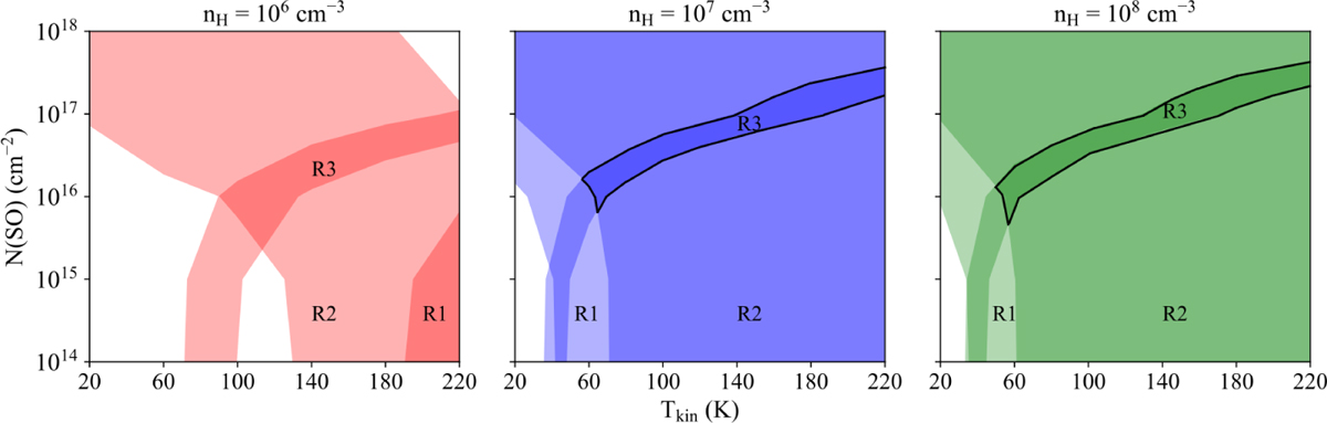
Fig. D.2

image

Download original image

Range of possible values for the SO column density and the kinetic temperature (black contours) from the overlap of the observed intensity ratios in Fig. D.1, for three different values of the H2 number density.

Current usage metrics show cumulative count of Article Views (full-text article views including HTML views, PDF and ePub downloads, according to the available data) and Abstracts Views on Vision4Press platform.

Data correspond to usage on the plateform after 2015. The current usage metrics is available 48-96 hours after online publication and is updated daily on week days.

Initial download of the metrics may take a while.