Open Access

Fig. 7

image

Download original image

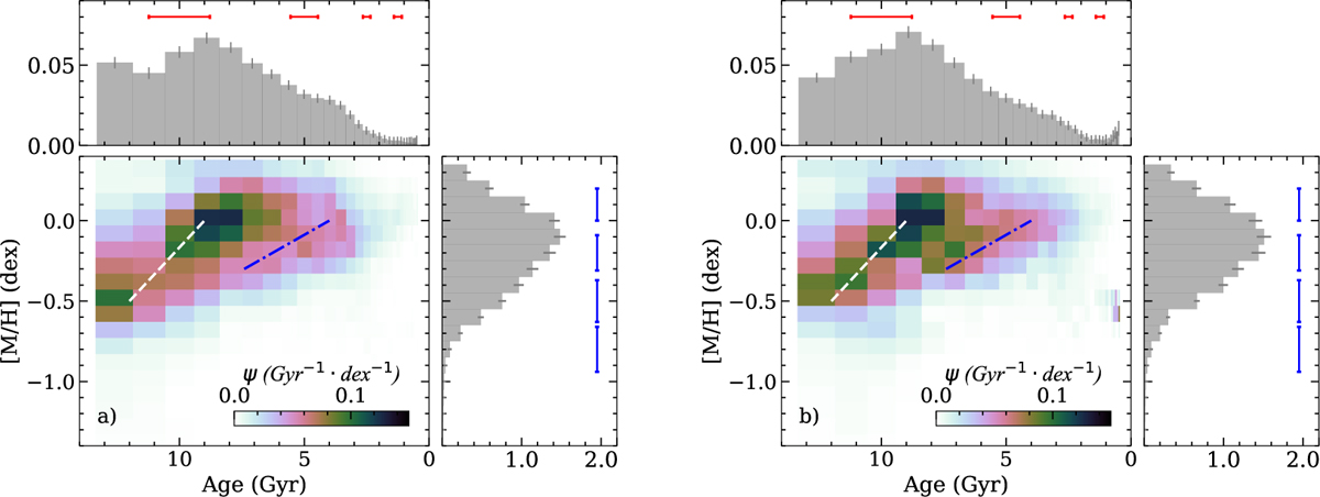
Inferred SFH of JP×Gr16.55kpc sample for stars brighter than r = 4.2 mag, using Grid C (solar-scaled; panel a) and Grid D (α-enhanced; panel b). The grey histograms in the upper and right panels show the marginal distributions of age and metallicity, respectively. The red and blue error bars above the histograms indicate the full width at half maximum (FWHM) of the age and metallicity uncertainties, as estimated in Appendix C. The dashed and dash-dotted lines highlight the two population candidates that we consider to be detected.

Current usage metrics show cumulative count of Article Views (full-text article views including HTML views, PDF and ePub downloads, according to the available data) and Abstracts Views on Vision4Press platform.

Data correspond to usage on the plateform after 2015. The current usage metrics is available 48-96 hours after online publication and is updated daily on week days.

Initial download of the metrics may take a while.