Open Access

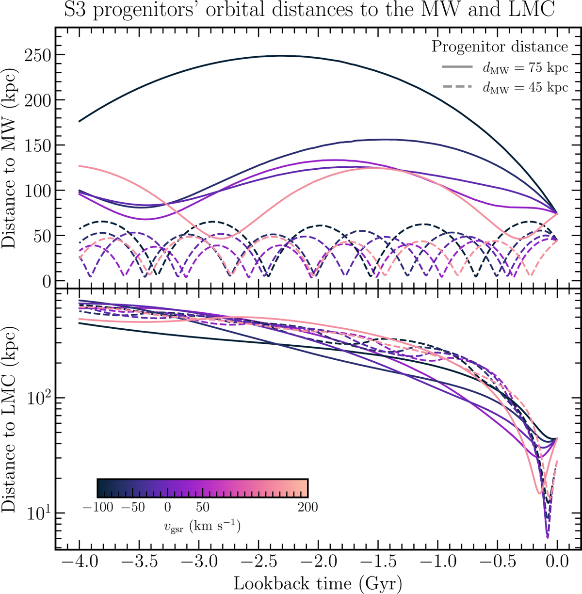
Fig. 5

image

Download original image

Distances of possible S3 stream progenitors to the MW (top panel) and LMC (bottom panel; log scale) over the past 4 Gyr. The progenitors correspond to the streams shown in Fig. 4. The distances of progenitors initialised at 75 kpc (45 kpc) are shown as solid (dashed) lines. The colours indicate the progenitor’s Galactic standard of rest radial velocities (see the colour bar in the second row). All realisations orbit the MW, independent of chosen distances and radial velocities. Their closest approach to the LMC is ~100 Myr ago, when the progenitors of streams at closer distances get within 15 kpc of the LMC, and the farther progenitors between 15 and 50 kpc.

Current usage metrics show cumulative count of Article Views (full-text article views including HTML views, PDF and ePub downloads, according to the available data) and Abstracts Views on Vision4Press platform.

Data correspond to usage on the plateform after 2015. The current usage metrics is available 48-96 hours after online publication and is updated daily on week days.

Initial download of the metrics may take a while.