Open Access

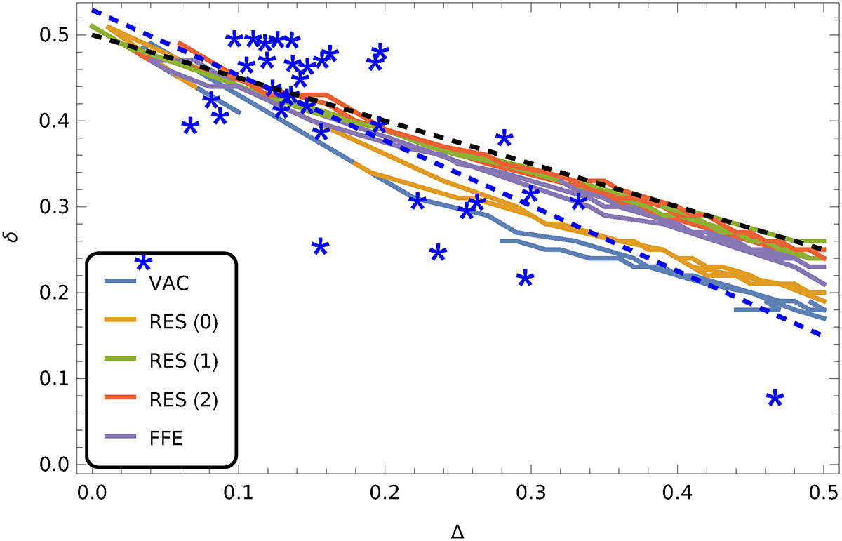
Fig. 20.

image

Download original image

Radio time lag δ versus γ-ray peak separation Δ. Blue stars represent data for YPs from the 3PC. The dashed black line represents the theoretical prediction (Eq. (14)), and the dashed blue line a linear fit to the data (Eq. (15)).

Current usage metrics show cumulative count of Article Views (full-text article views including HTML views, PDF and ePub downloads, according to the available data) and Abstracts Views on Vision4Press platform.

Data correspond to usage on the plateform after 2015. The current usage metrics is available 48-96 hours after online publication and is updated daily on week days.

Initial download of the metrics may take a while.