Open Access

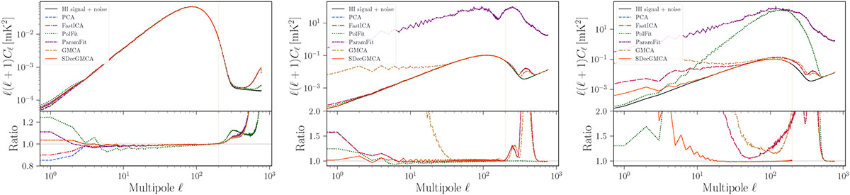
Fig. 1.

image

Download original image

Angular power spectrum of the reconstructed HI 21 cm signal using different methods, each represented by a distinct color. The bottom panel displays the ratio of the reconstructed to the true HI power spectrum for each method. From left to right, the panels correspond to different beam models: Gaussian degraded, Gaussian evolving, and Gaussian oscillating.

Current usage metrics show cumulative count of Article Views (full-text article views including HTML views, PDF and ePub downloads, according to the available data) and Abstracts Views on Vision4Press platform.

Data correspond to usage on the plateform after 2015. The current usage metrics is available 48-96 hours after online publication and is updated daily on week days.

Initial download of the metrics may take a while.