Open Access

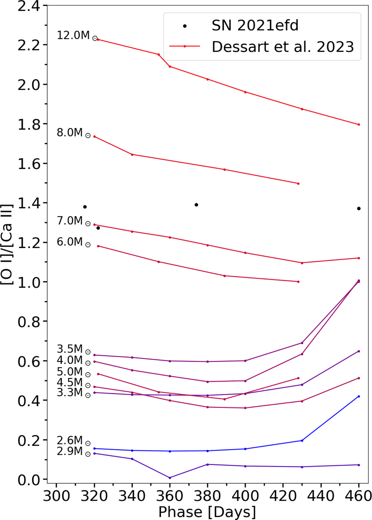
Fig. 16.

image

Download original image

[[O I]/[Ca II] ratio of models with different He star masses measured from synthetic spectra presented by Dessart et al. (2023). The different lines correspond to different He star masses of the models. The black dots are the values measured from the nebular spectra of SN 2021efd (see Sect. 4.4).

Current usage metrics show cumulative count of Article Views (full-text article views including HTML views, PDF and ePub downloads, according to the available data) and Abstracts Views on Vision4Press platform.

Data correspond to usage on the plateform after 2015. The current usage metrics is available 48-96 hours after online publication and is updated daily on week days.

Initial download of the metrics may take a while.