Open Access

Fig. 3

image

Download original image

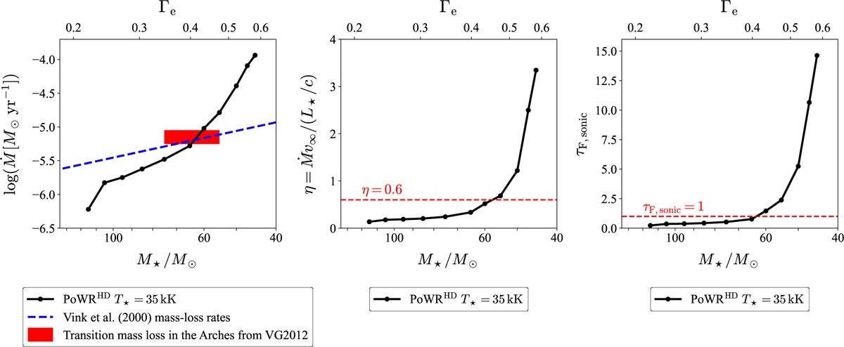
Testing the PoWRHD model predictions against the transition mass-loss rate in the Arches Cluster. Left : predicted mass-loss rates versus stellar mass from PoWRHD models for the T* = 35 kK sequence (solid black) and from Vink et al. (2000) (dotted blue), compared to the transition mass-loss rate of log(M) ≈ −5.16 in the Arches (horizontal red line) from Vink & Gräfener (2012). The PoWRHD models are computed with fixed log(L*/L) = 6.0, X = 0.7, and Z = 0.02, roughly matching the observed properties of the Arches transition objects (Martins et al. 2008). The T* = 35 kK sequence shown has surface temperatures close to the observed Teff(τR = 2/3) ≈ 33.4 kK of the transition objects. The stellar masses of the transition objects span ~55—75 M corresponding to their averaged luminosity and temperature. Middle : predicted wind efficiency parameter versus mass compared to the transition value η ≈ 0.6 (dashed red) from Vink & Gräfener (2012). Right : predicted wind optical depth versus mass compared to the transition value τF(rsonic) ≈ 1 (dashed red) from Vink & Gräfener (2012).

Current usage metrics show cumulative count of Article Views (full-text article views including HTML views, PDF and ePub downloads, according to the available data) and Abstracts Views on Vision4Press platform.

Data correspond to usage on the plateform after 2015. The current usage metrics is available 48-96 hours after online publication and is updated daily on week days.

Initial download of the metrics may take a while.