Open Access

Fig. 7

image

Download original image

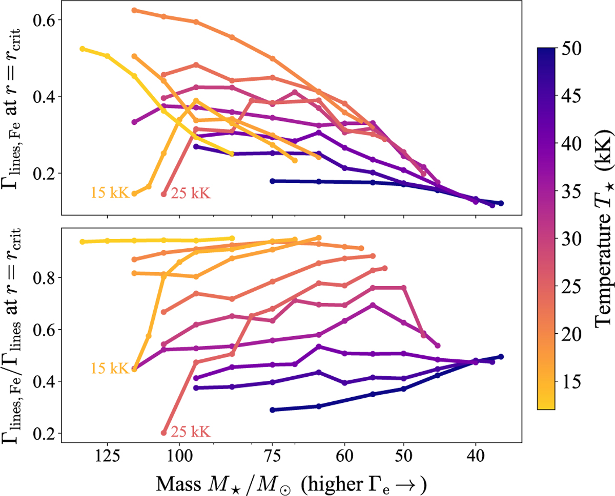
Contribution of Fe-line acceleration at the critical point as a function of mass for different temperature sequences. Top : absolute contribution of Fe. Bottom : relative contribution of Fe to the total line acceleration. The contributions are normalised to gravity and expressed as Eddington parameters. The figure is colour-coded based on the temperature T*.

Current usage metrics show cumulative count of Article Views (full-text article views including HTML views, PDF and ePub downloads, according to the available data) and Abstracts Views on Vision4Press platform.

Data correspond to usage on the plateform after 2015. The current usage metrics is available 48-96 hours after online publication and is updated daily on week days.

Initial download of the metrics may take a while.