Open Access

Fig. 8

image

Download original image

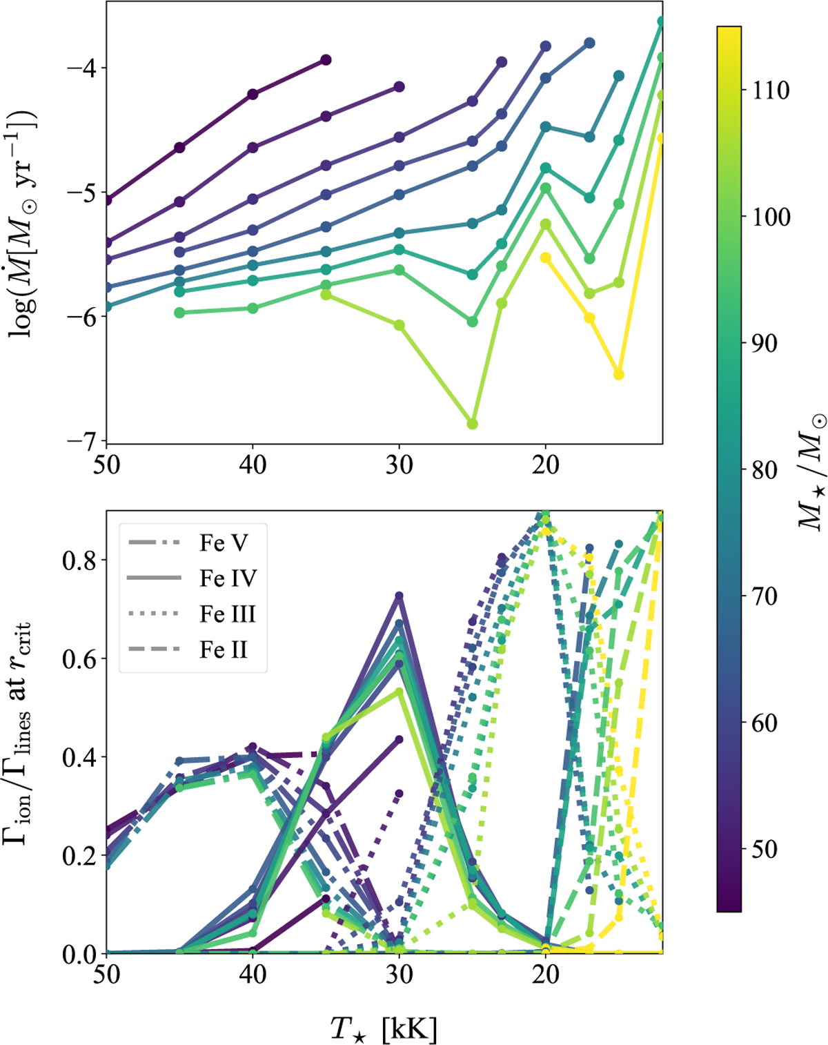
Mass-loss rate as a function of stellar temperature, T*, for different masses. Top : predicted mass-loss rates. Bottom : relative contributions from relevant Fe wind-driving ions to the total line acceleration at the critical point. The radiative acceleration contributions are normalised to gravity and expressed as Eddington parameters. The curves are colour-coded by stellar mass.

Current usage metrics show cumulative count of Article Views (full-text article views including HTML views, PDF and ePub downloads, according to the available data) and Abstracts Views on Vision4Press platform.

Data correspond to usage on the plateform after 2015. The current usage metrics is available 48-96 hours after online publication and is updated daily on week days.

Initial download of the metrics may take a while.