Open Access

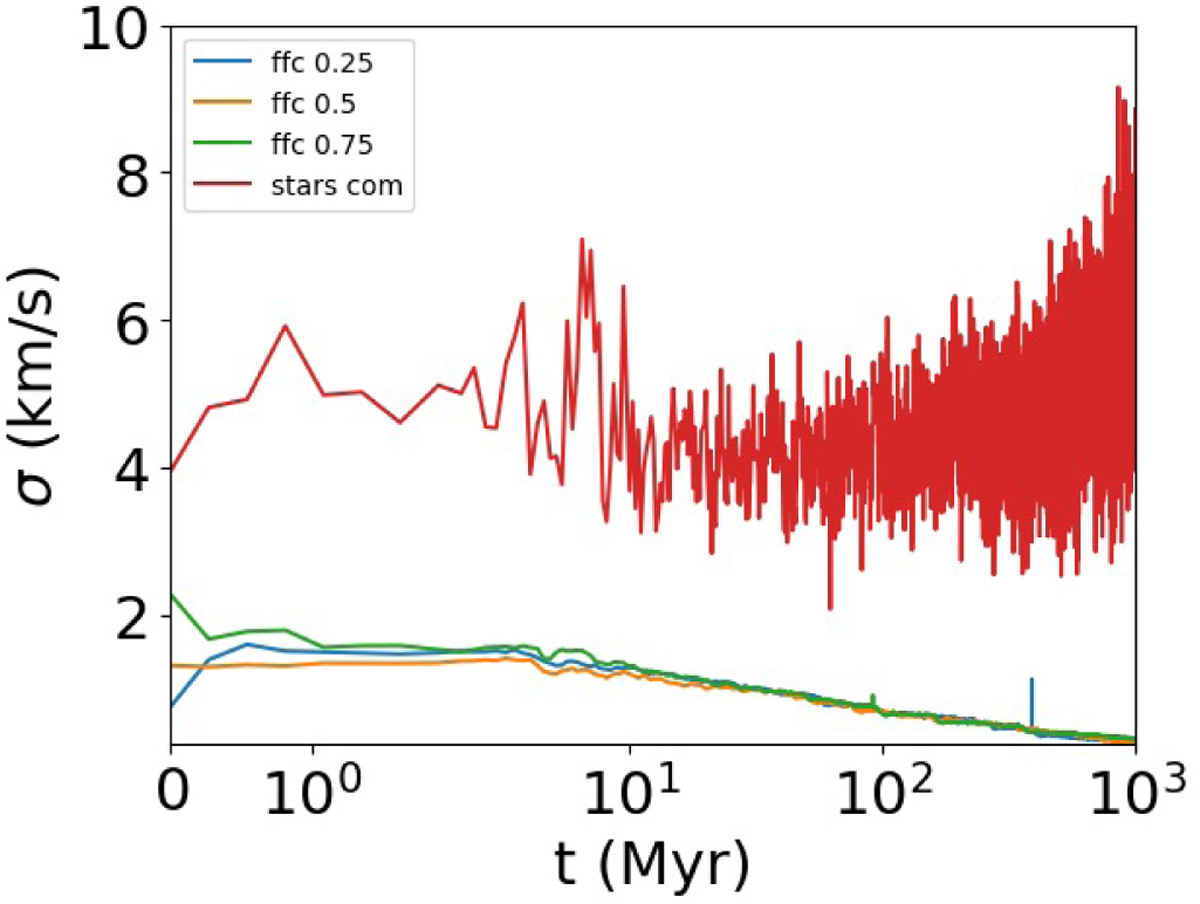
Fig. 4

image

Download original image

Velocity dispersion of stellar population and ffc population. The ffc velocity dispersion is smaller than that of the stellar population in all models. The presented velocity dispersion considers the center of mass for the binary systems. A zoomed-in view of the ffcs’ curves is in Appendix E.

Current usage metrics show cumulative count of Article Views (full-text article views including HTML views, PDF and ePub downloads, according to the available data) and Abstracts Views on Vision4Press platform.

Data correspond to usage on the plateform after 2015. The current usage metrics is available 48-96 hours after online publication and is updated daily on week days.

Initial download of the metrics may take a while.