Open Access

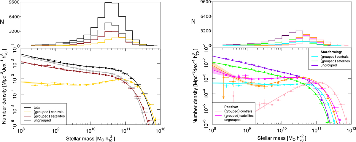
Fig. 5.

image

Download original image

GSMFs for our total, central, satellite, and ungrouped galaxy populations, as indicated in the legend. Left: GSMFs for each entire population. Right: Subdivision into star-forming and passive galaxies. In each sub-figure, the lower panel shows the GSMFs and the upper panel displays the raw number of galaxies as a function of stellar mass in each sample, as indicated.

Current usage metrics show cumulative count of Article Views (full-text article views including HTML views, PDF and ePub downloads, according to the available data) and Abstracts Views on Vision4Press platform.

Data correspond to usage on the plateform after 2015. The current usage metrics is available 48-96 hours after online publication and is updated daily on week days.

Initial download of the metrics may take a while.