Open Access

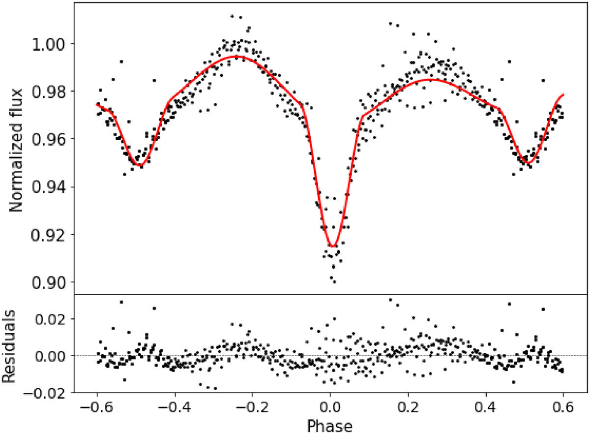
Fig. 4.

image

Download original image

Chosen “best segment” of the K2 C16 LC (black dots) and the best fit model (red line). The bottom panel shows the residuals from the fit. The orbital period used to phase the data is 1.067799 days.

Current usage metrics show cumulative count of Article Views (full-text article views including HTML views, PDF and ePub downloads, according to the available data) and Abstracts Views on Vision4Press platform.

Data correspond to usage on the plateform after 2015. The current usage metrics is available 48-96 hours after online publication and is updated daily on week days.

Initial download of the metrics may take a while.