Open Access

Fig. 3

image

Download original image

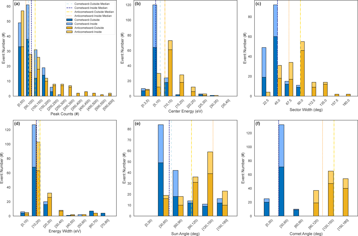
Histograms showing the statistical distributions of six key parameters for cometward (blue) and anticometward (orange) ion flows, derived from high-resolution RPC-ICA data. The data are separated into observations inside (light shades) and outside (dark shades) the diamagnetic cavity. Each panel corresponds to a specific parameter: (a) peak counts, (b) center energy, (c) sector width, (d) energy width, (e) Sun angle, and (f) comet angle. The median value for each of the four distributions is indicated by a corresponding dashed line, as detailed in the legend in panel a.

Current usage metrics show cumulative count of Article Views (full-text article views including HTML views, PDF and ePub downloads, according to the available data) and Abstracts Views on Vision4Press platform.

Data correspond to usage on the plateform after 2015. The current usage metrics is available 48-96 hours after online publication and is updated daily on week days.

Initial download of the metrics may take a while.