Open Access

Fig. 3.

image

Download original image

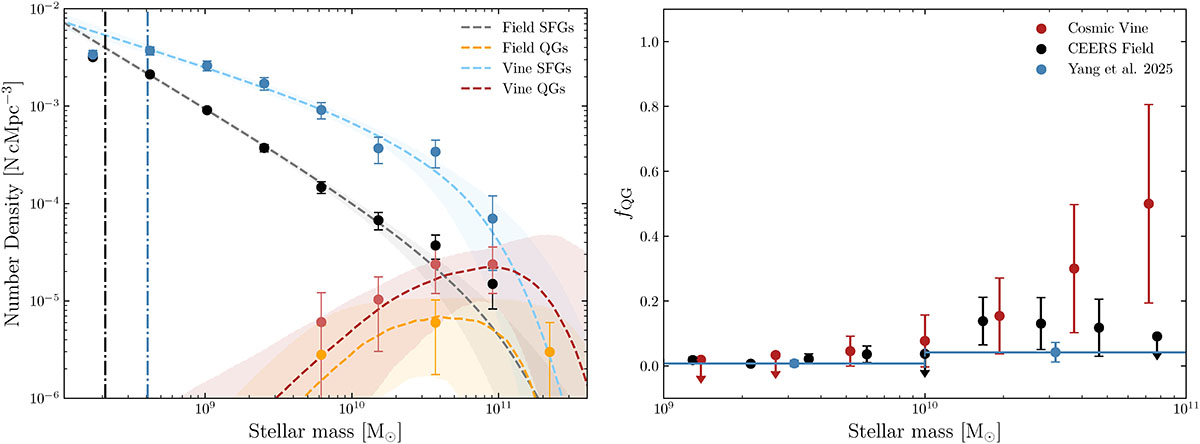
Stellar mass functions (SMFs) and quiescent fractions. Left: SMFs for the star-forming (light blue) and quiescent (red) members of the Vine, fitted with a Schechter function. The black dots and line show the CEERS SFG field sample, and the orange dots and line show the CEERS QG sample. The vertical lines mark the stellar mass completeness limit of the field (black) and Cosmic Vine members (blue). Right: quiescent fractions of Cosmic Vine members (red) and the rest of the CEERS field (black). Blue dots with error bars represent the quiescent fractions from the JWST/PRIMER fields at z ∼ 3.45 (Yang et al. 2025).

Current usage metrics show cumulative count of Article Views (full-text article views including HTML views, PDF and ePub downloads, according to the available data) and Abstracts Views on Vision4Press platform.

Data correspond to usage on the plateform after 2015. The current usage metrics is available 48-96 hours after online publication and is updated daily on week days.

Initial download of the metrics may take a while.