Open Access

Fig. 4.

image

Download original image

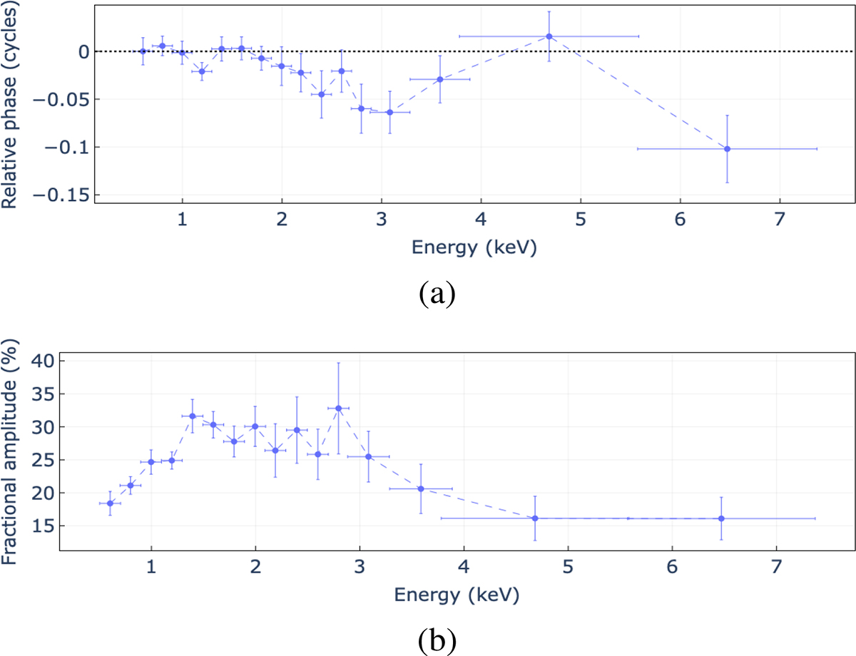
Energy dependence of the pulsations in MAXI J1957+032. The XMM-Newton/PN dataset is split into 16 significance-optimised bands spanning 0.5–10.0 keV. In each band, the signal is modelled with a pure sinusoidal function (fundamental harmonic) at the NS spin period. Panel (a): Relative phase of the fundamental as a function of energy. Panel (b): Fractional amplitude of the fundamental as a function of energy.

Current usage metrics show cumulative count of Article Views (full-text article views including HTML views, PDF and ePub downloads, according to the available data) and Abstracts Views on Vision4Press platform.

Data correspond to usage on the plateform after 2015. The current usage metrics is available 48-96 hours after online publication and is updated daily on week days.

Initial download of the metrics may take a while.