Open Access

Fig. 5

image

Download original image

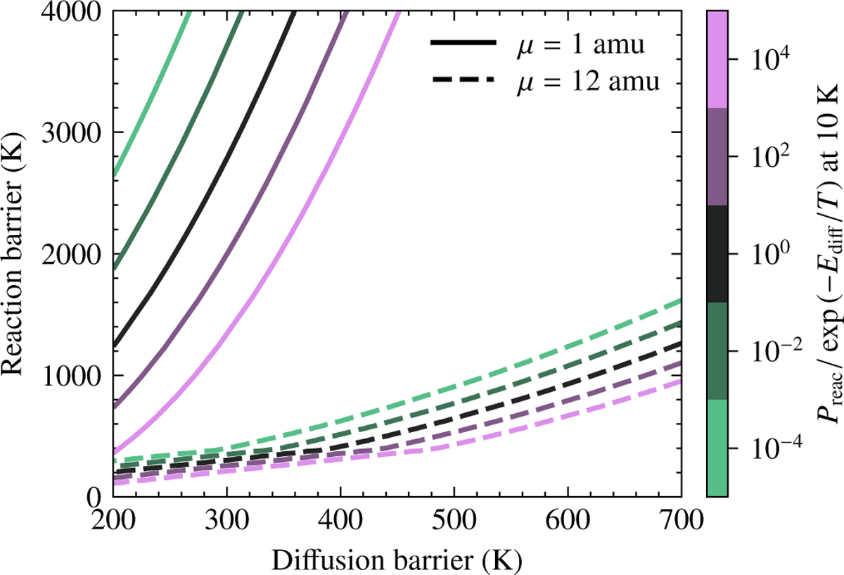
Ratio between the reaction probability (Eq. (5)) and the Boltzmann factor for diffusion at 10 K, for reactions with different energy barriers and diffusion barrier of the most mobile reagent. Solid lines indicate a reaction where tunneling is efficient (μ=1 amu), and dashed lines indicate a reaction where tunneling is inefficient (μ=12 amu).

Current usage metrics show cumulative count of Article Views (full-text article views including HTML views, PDF and ePub downloads, according to the available data) and Abstracts Views on Vision4Press platform.

Data correspond to usage on the plateform after 2015. The current usage metrics is available 48-96 hours after online publication and is updated daily on week days.

Initial download of the metrics may take a while.