Open Access

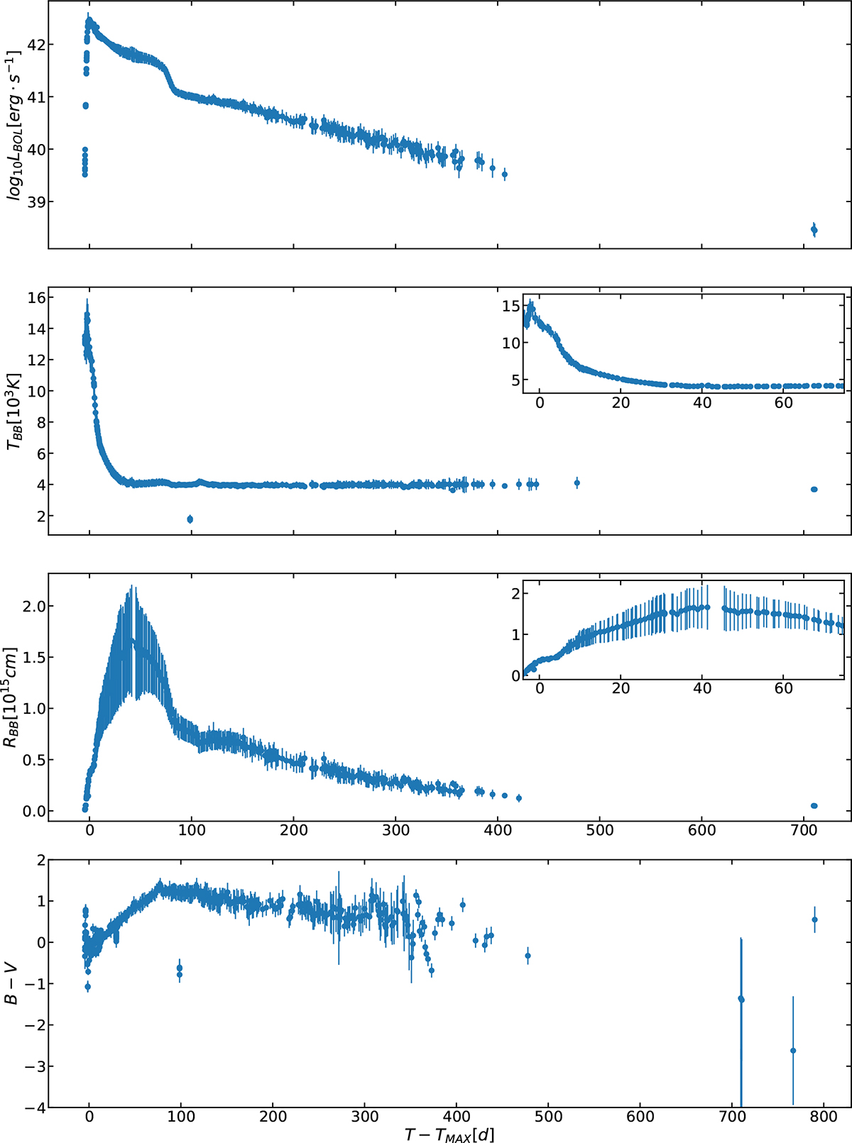
Fig. 4.

image

Download original image

Evolution of the bolometric light curve, the black-body temperature, the photometric radius, and the colour evolution (from top to bottom). Except for the colour evolution, all trends are derived from SuperBol fits to the multi-band photometry. The insets zoom in on the first 70 days post-explosion. See Sect. 4.1 for details.

Current usage metrics show cumulative count of Article Views (full-text article views including HTML views, PDF and ePub downloads, according to the available data) and Abstracts Views on Vision4Press platform.

Data correspond to usage on the plateform after 2015. The current usage metrics is available 48-96 hours after online publication and is updated daily on week days.

Initial download of the metrics may take a while.