Press Release
Open Access

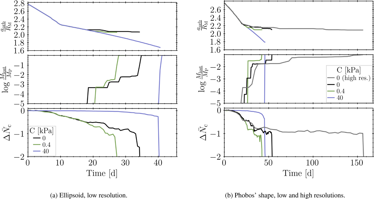
Fig. 4

Fig. 4 Refer to the following caption and surrounding text.

Download original image

Time-series plots showing the semimajor axis (aorb), the amount of lost mass (Mlost/Mp), and the change in the average contact number (∆c) for the three rubble pile models of Phobos for different bulk cohesive strengths. The ellipsoidal case is shown in panel a, while the low- and high-resolution cases with the real phobos shape are combined in panel b.

Current usage metrics show cumulative count of Article Views (full-text article views including HTML views, PDF and ePub downloads, according to the available data) and Abstracts Views on Vision4Press platform.

Data correspond to usage on the plateform after 2015. The current usage metrics is available 48-96 hours after online publication and is updated daily on week days.

Initial download of the metrics may take a while.