Open Access

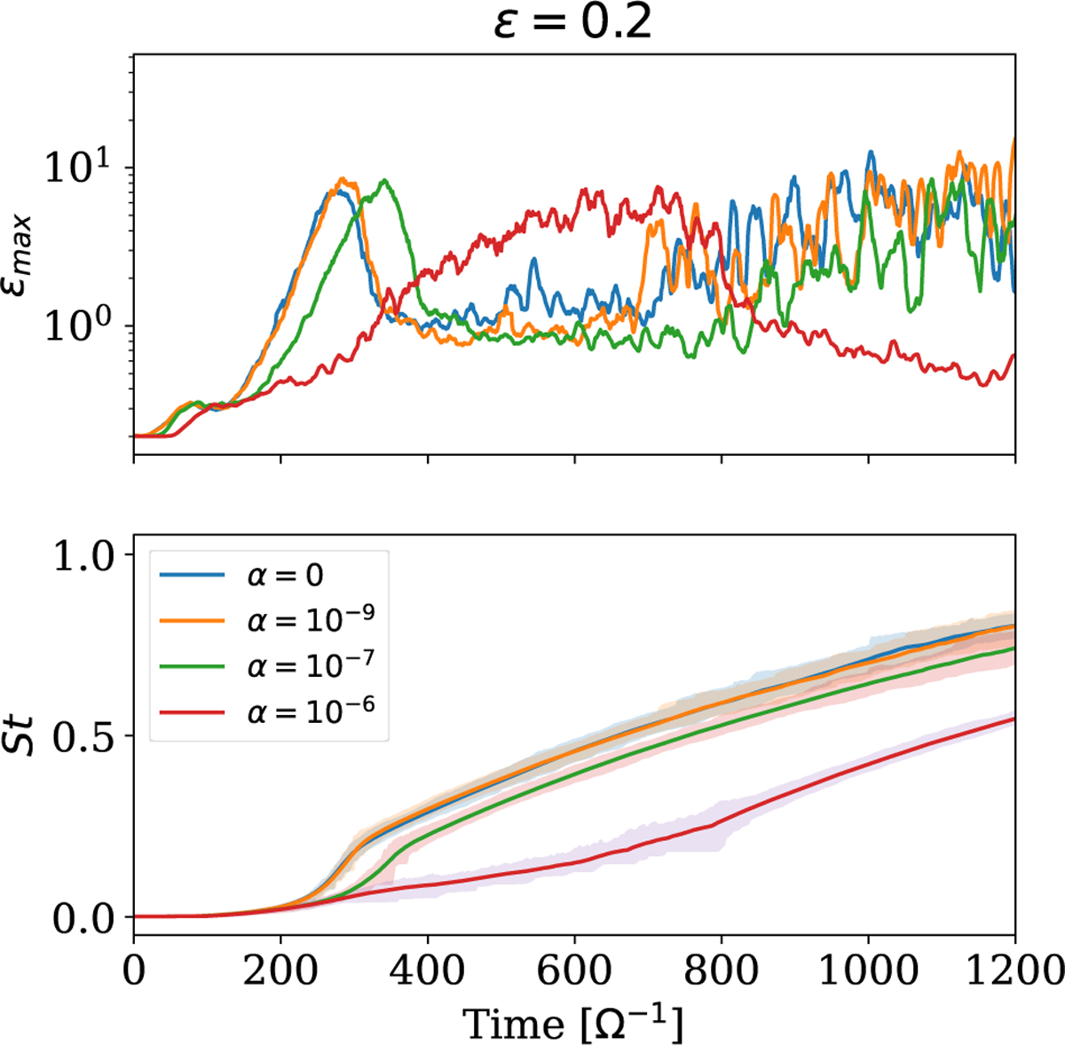
Fig. B.1

image

Download original image

For ϵ = 0.2, St = 1 and with coagulation included, time evolution of the maximum dust-to-gas ratio ϵmax and Stokes number St in viscous simulations where the α viscous stress parameter is taken to be equal to the dimensionless dust diffusion coefficient.

Current usage metrics show cumulative count of Article Views (full-text article views including HTML views, PDF and ePub downloads, according to the available data) and Abstracts Views on Vision4Press platform.

Data correspond to usage on the plateform after 2015. The current usage metrics is available 48-96 hours after online publication and is updated daily on week days.

Initial download of the metrics may take a while.