Open Access

Fig. 6

image

Download original image

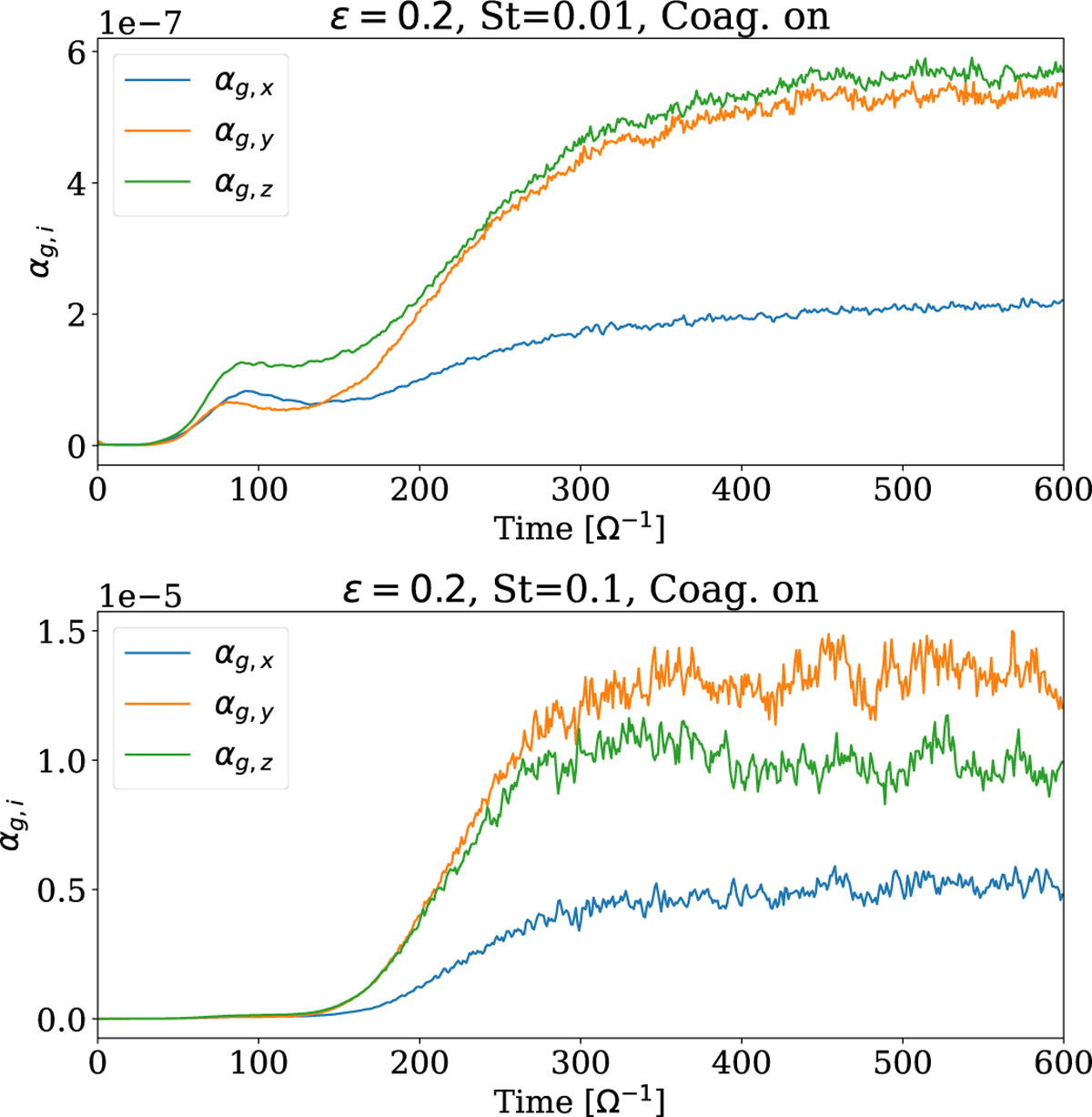
Case of ϵ = 0.2, showing the time evolution of the dimensionless diffusion coefficients, αg,i, in each direction for models E0v2S0v01c with St = 0.01 (top) and E0v2S0v1c with St = 0.1 (bottom).

Current usage metrics show cumulative count of Article Views (full-text article views including HTML views, PDF and ePub downloads, according to the available data) and Abstracts Views on Vision4Press platform.

Data correspond to usage on the plateform after 2015. The current usage metrics is available 48-96 hours after online publication and is updated daily on week days.

Initial download of the metrics may take a while.