Open Access

Fig. 5.

image

Download original image

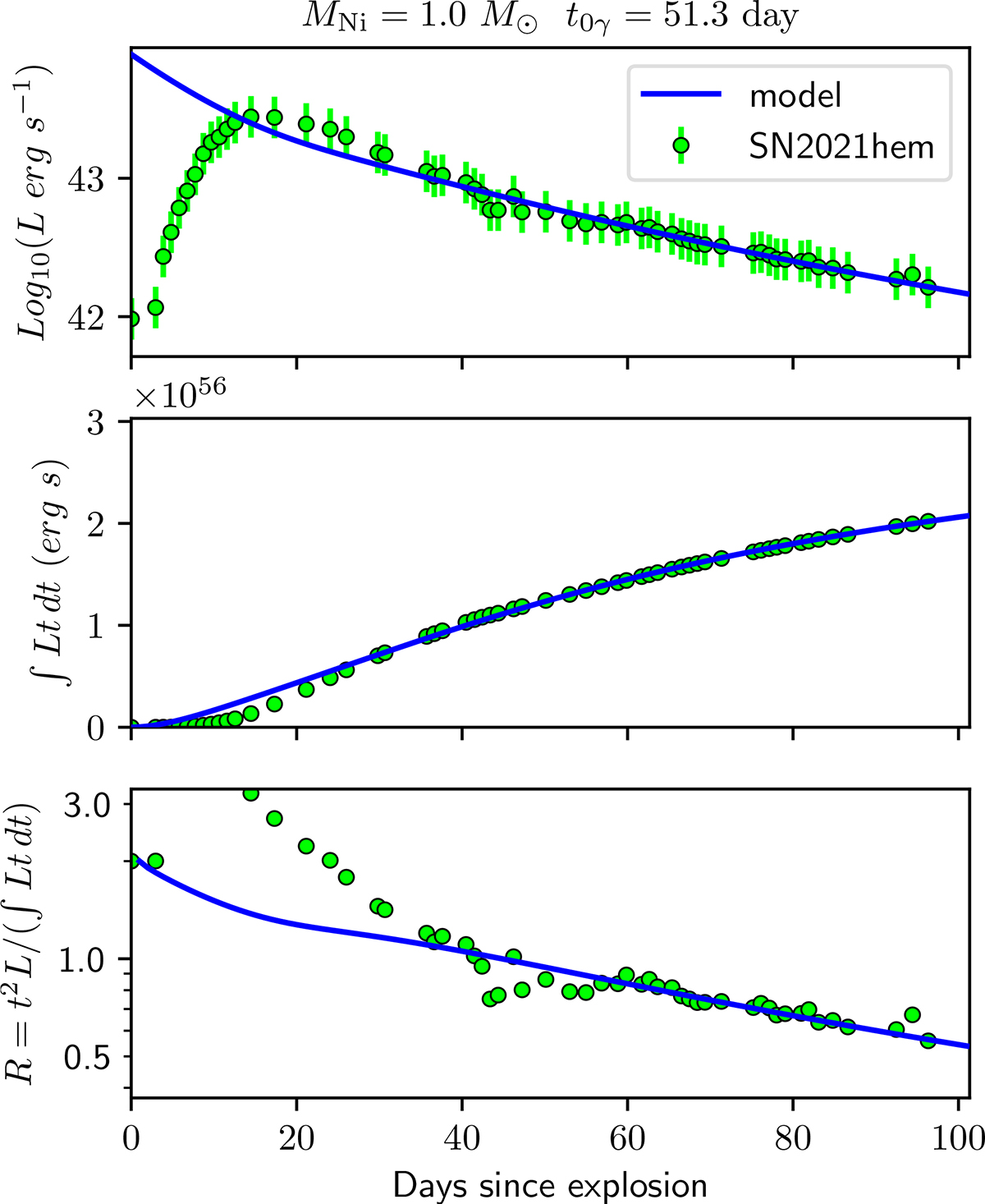
UVOIR bolometric light curve of SN 2021hem fit with a radioactive 56Ni decay model. The time of explosion is taken as the epoch of first detection, which is ≈17.9 days before the B-band maximum. Only data beyond 60 days were used to fit the model. The UVOIR light curve of SN 2021hem (top panel), its time-weighted integrated luminosity (middle panel), and the ratio t2L/(∫Lt dt) (bottom panel), which is defined independently of the 56Ni mass, are shown.

Current usage metrics show cumulative count of Article Views (full-text article views including HTML views, PDF and ePub downloads, according to the available data) and Abstracts Views on Vision4Press platform.

Data correspond to usage on the plateform after 2015. The current usage metrics is available 48-96 hours after online publication and is updated daily on week days.

Initial download of the metrics may take a while.