Open Access

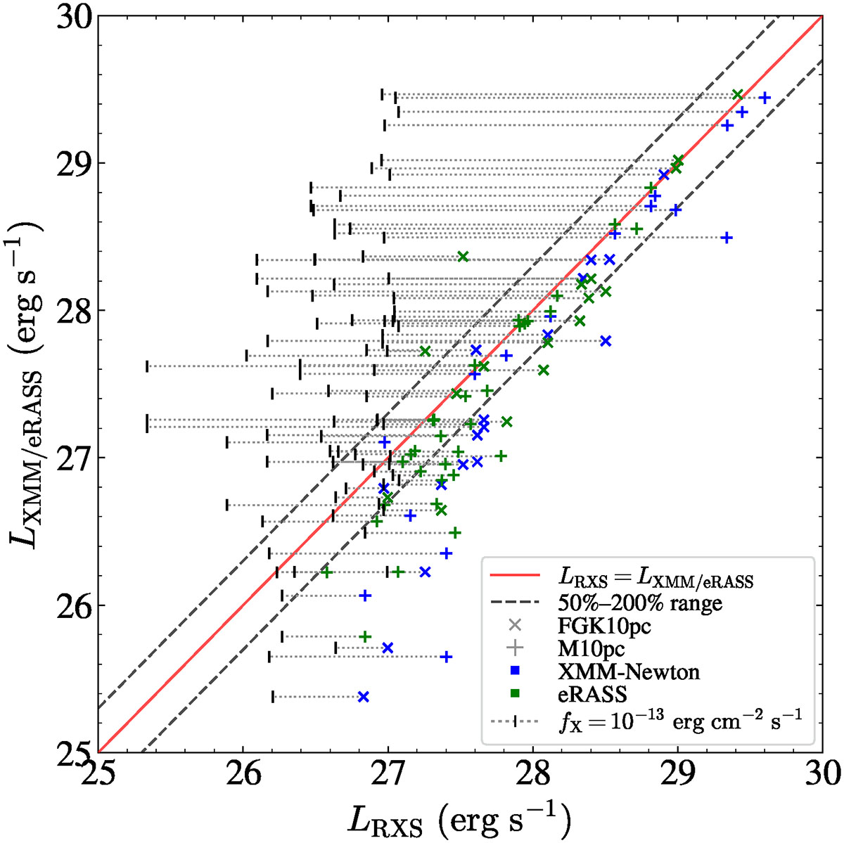
Fig. C.1.

image

Download original image

Comparison of X-ray luminosities detected with 2RXS, eROSITA, and XMM-Newton in the ROSAT energy band after applying the respective CF shown in Table C.1. For the M10pc sample, we use the CFs from Caramazza et al. (2023). Black bars represent the sensitivity limit of 2RXS at the individual distances of the stars.

Current usage metrics show cumulative count of Article Views (full-text article views including HTML views, PDF and ePub downloads, according to the available data) and Abstracts Views on Vision4Press platform.

Data correspond to usage on the plateform after 2015. The current usage metrics is available 48-96 hours after online publication and is updated daily on week days.

Initial download of the metrics may take a while.