Open Access

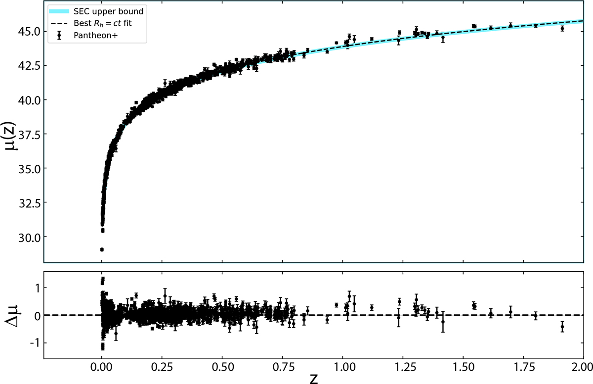
Fig. 1.

image

Download original image

Distance modulus for the Type Ia SNe in the Rh = ct model. The predicted (dashed) curve is coincident with the SEC limit (blue curve), as highlighted in the plot without the data (Fig. 4).

Current usage metrics show cumulative count of Article Views (full-text article views including HTML views, PDF and ePub downloads, according to the available data) and Abstracts Views on Vision4Press platform.

Data correspond to usage on the plateform after 2015. The current usage metrics is available 48-96 hours after online publication and is updated daily on week days.

Initial download of the metrics may take a while.