Open Access

Fig. 3.

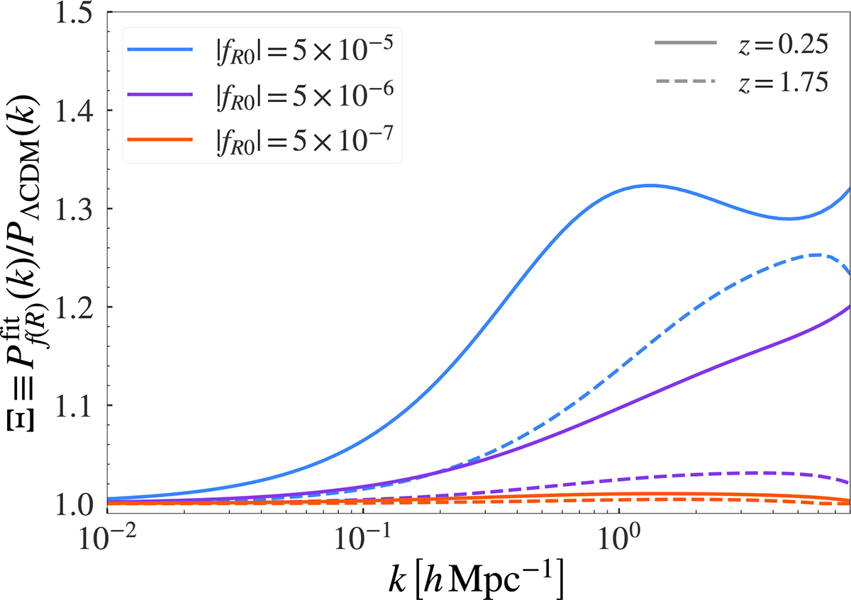
Fig. 3. Refer to the following caption and surrounding text.

Download original image

Ratio of the non-linear power spectrum in f(R) gravity to ΛCDM from the fitting function in Eq. (27) for three different values of the |fR0| parameter, namely, 5 × 10−5 (blue line), 5 × 10−6 (purple line), and 5 × 10−7 (orange line), as a function of scale, k, evaluated at two different redshifts, z = 0.25 (solid lines) and z = 1.75 (dashed lines). These redshifts correspond approximately to the means of the first and last lensing tomographic bins of our survey, respectively (see Section 4). The fitting formula designed in Winther et al. (2019) is not defined outside 10−7 < |fR0| < 10−4.

Current usage metrics show cumulative count of Article Views (full-text article views including HTML views, PDF and ePub downloads, according to the available data) and Abstracts Views on Vision4Press platform.

Data correspond to usage on the plateform after 2015. The current usage metrics is available 48-96 hours after online publication and is updated daily on week days.

Initial download of the metrics may take a while.