Open Access

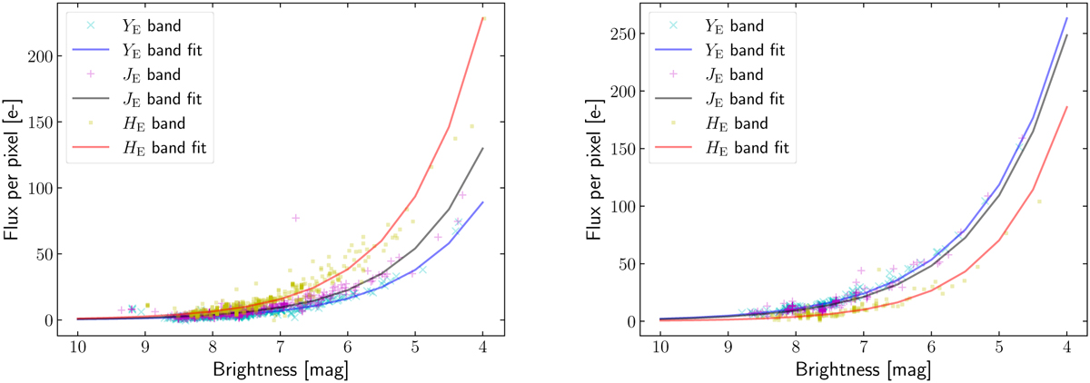
Fig. 9

Fig. 9 Refer to the following caption and surrounding text.

Download original image

Mean flux per pixel in the dichroic (left) and filter (right) ghost, calculated from the smoothed radial profiles as described in Sects. 4.2 and 5.2. The minimum brightness for masking is thus determined for each filter by the requirement that the ghost must contribute less than 0.0866 e pixel−1.

Current usage metrics show cumulative count of Article Views (full-text article views including HTML views, PDF and ePub downloads, according to the available data) and Abstracts Views on Vision4Press platform.

Data correspond to usage on the plateform after 2015. The current usage metrics is available 48-96 hours after online publication and is updated daily on week days.

Initial download of the metrics may take a while.