Open Access

Fig. 4.

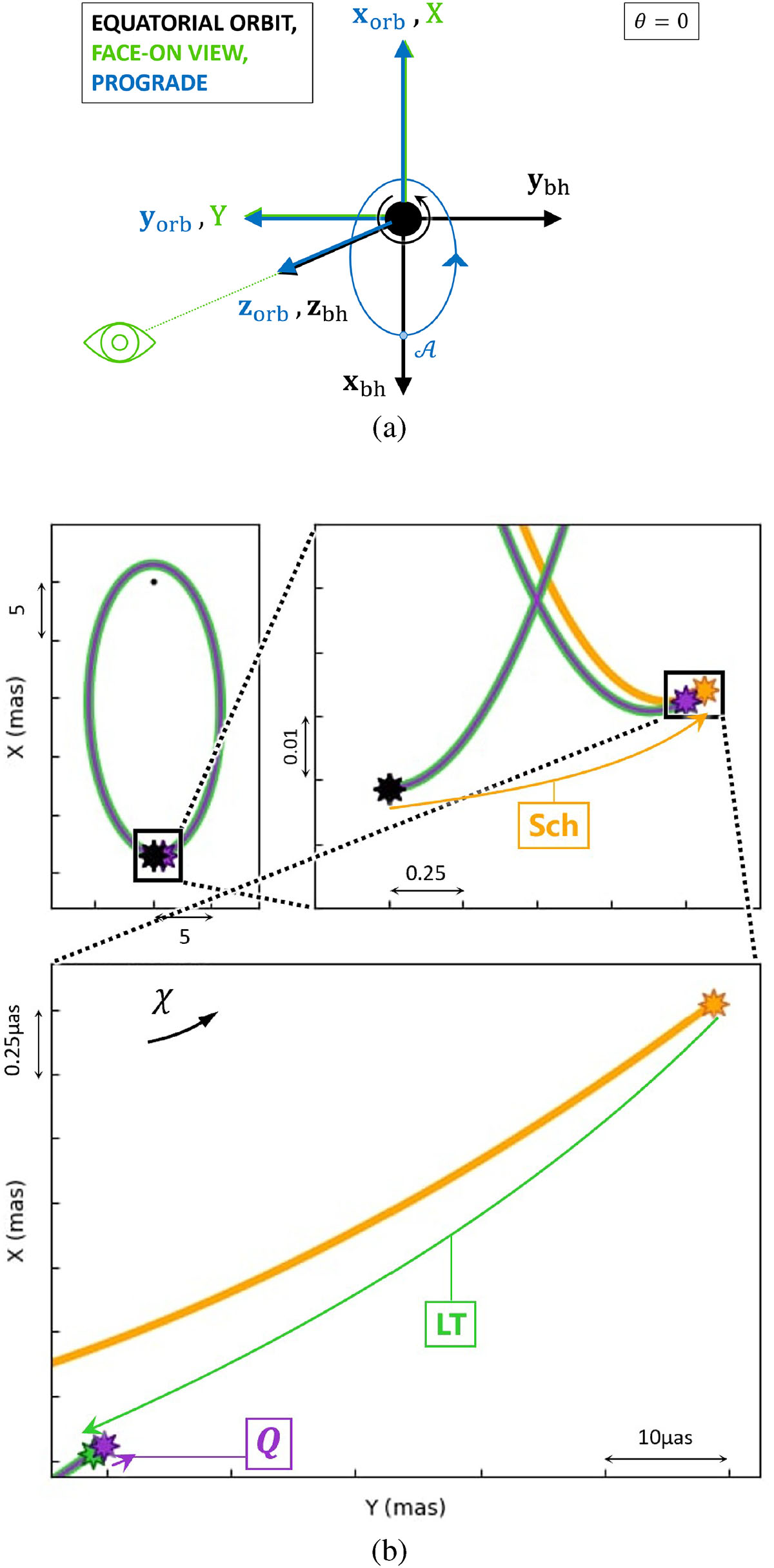
Fig. 4. Refer to the following caption and surrounding text.

Download original image

Prograde orbits in the equatorial plane of the black hole with a face-on view. Figure 4a displays a schematic illustration of the osculating Keplerian orbit (see Sect. 4.4.1) with the apocenter represented by the letter 𝒜. In Fig. 4b we show an orbit of the hypothetical star “S2/10” simulated in 2PN using OOGRE: the “✷” denotes the apocenters (the first apocenter in black corresponds to the osculating time, which is also the initial date, and is in common for the three orbits). We simulate one orbit for the Schwarzschild precession (“Sch” in orange), one orbit for both the Schwarzschild and LT precessions (“LT” in green), and one orbit for the Schwarzschild, spin and quadrupole moment precessions (“Q” in thin purple). We see that the LT and quadrupole moment effects shift the apocenter clockwise and counterclockwise, respectively, as seen by this face-on observer. All numbers are expressed in mas except otherwise noted.

Current usage metrics show cumulative count of Article Views (full-text article views including HTML views, PDF and ePub downloads, according to the available data) and Abstracts Views on Vision4Press platform.

Data correspond to usage on the plateform after 2015. The current usage metrics is available 48-96 hours after online publication and is updated daily on week days.

Initial download of the metrics may take a while.