Open Access

Fig. 10.

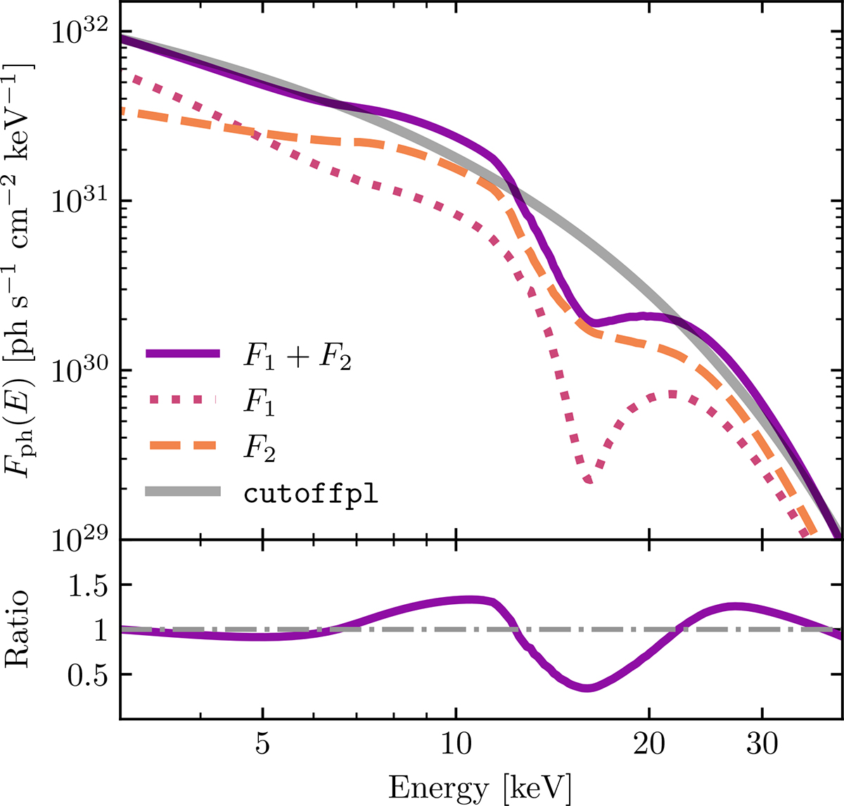
Fig. 10. Refer to the following caption and surrounding text.

Download original image

Top: Modeled photon flux in two polarization modes. The figure emphasizes the formation of a strong red wing due to redistribution near cyclotron resonance. Simulations were performed for a homogeneous slab of self-emitting magnetized plasma with τT = 1000, ne = 1022 cm−3, kTe = 5 keV, and Ecyc = 20 keV. The spectra for each polarization mode are integrated over angles. Photon polarization modes, mode 1 (F1) and mode 2 (F2), include vacuum effects and plasma polarization (corresponding to the continuous behavior of the refractive indices, see Sokolova-Lapa et al. 2023, for more details). Assuming a gravitational redshift of (1 + z) = 1.24, the cyclotron line in the final spectrum appears at 15 keV. The spectra are shown on the redshifted energy grid. A fit to the power-law spectrum with a high-energy cutoff (cutoffpl), using a photon index of Γ = 0.47, a cutoff energy of Efold = 6.6 keV, and a normalization of N = 2.4 × 1032, is shown in energy flux space to illustrate the generally assumed continuum behavior. Bottom: Ratio between the modeled photon flux and cutoffpl.

Current usage metrics show cumulative count of Article Views (full-text article views including HTML views, PDF and ePub downloads, according to the available data) and Abstracts Views on Vision4Press platform.

Data correspond to usage on the plateform after 2015. The current usage metrics is available 48-96 hours after online publication and is updated daily on week days.

Initial download of the metrics may take a while.