Open Access

Fig. 6.

Fig. 6. Refer to the following caption and surrounding text.

Download original image

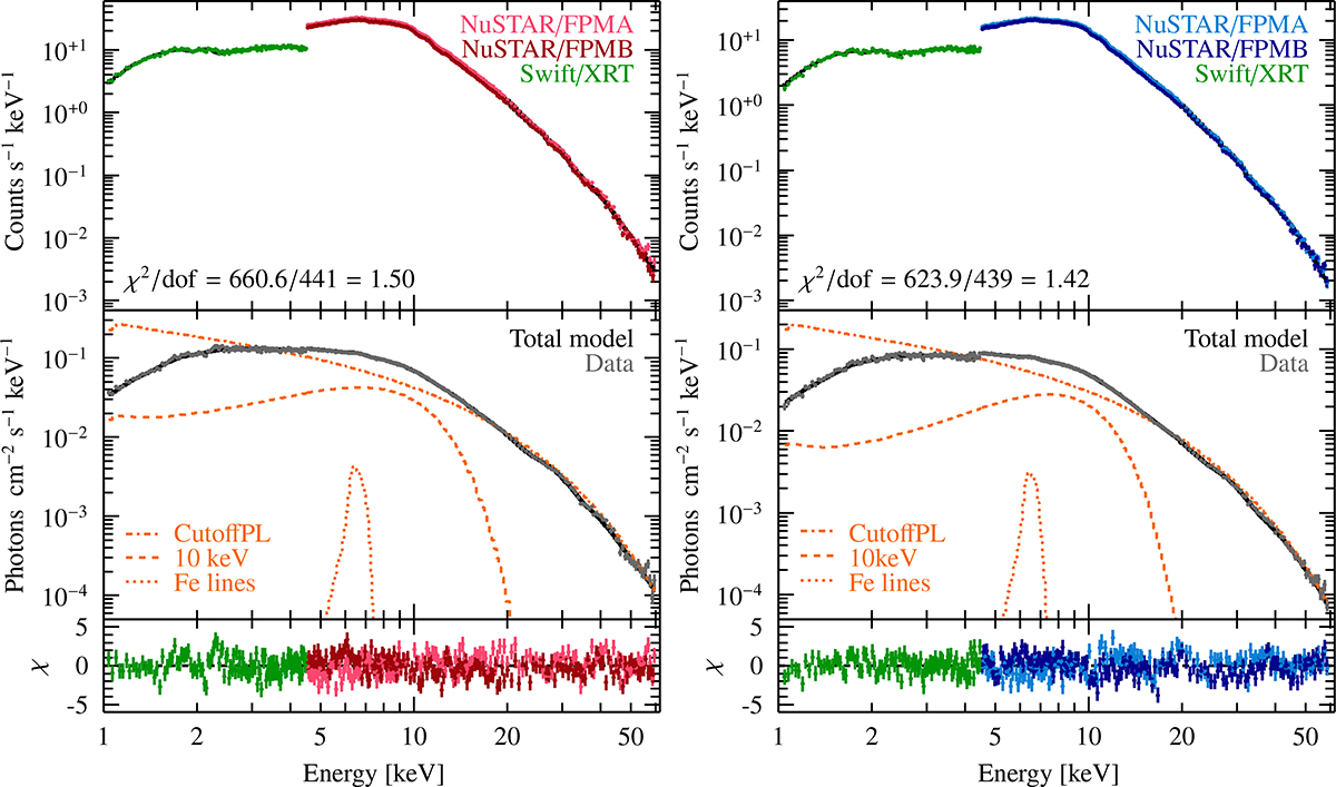
Top: NuSTAR and Swift spectra of O1 (left) and O2 (right) with the best-fit model (black). The data from XRT are shown in green, FPMA in the lighter color, and FPMB in the darker color. Middle: Visualization of different model components. The data are shown in gray, and the model using the best-fit parameters is shown in black. The component contribution is shown in orange, using a dash-dotted line for the cutoff power law, a dashed line for the “10 keV feature”, and a dotted line for the iron lines. Bottom: Residuals of the best-fit model.

Current usage metrics show cumulative count of Article Views (full-text article views including HTML views, PDF and ePub downloads, according to the available data) and Abstracts Views on Vision4Press platform.

Data correspond to usage on the plateform after 2015. The current usage metrics is available 48-96 hours after online publication and is updated daily on week days.

Initial download of the metrics may take a while.