Open Access

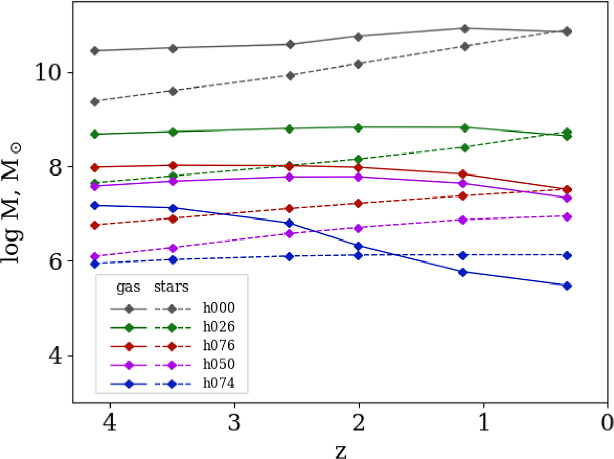
Fig. A.1.

Fig. A.1. Refer to the following caption and surrounding text.

Download original image

Redshift evolution of stellar and gas masses measured within Rvir in the five simulated galaxies. The solid and dashed curves correspond to the gas and stellar components, respectively.

Current usage metrics show cumulative count of Article Views (full-text article views including HTML views, PDF and ePub downloads, according to the available data) and Abstracts Views on Vision4Press platform.

Data correspond to usage on the plateform after 2015. The current usage metrics is available 48-96 hours after online publication and is updated daily on week days.

Initial download of the metrics may take a while.