Open Access

Fig. 4.

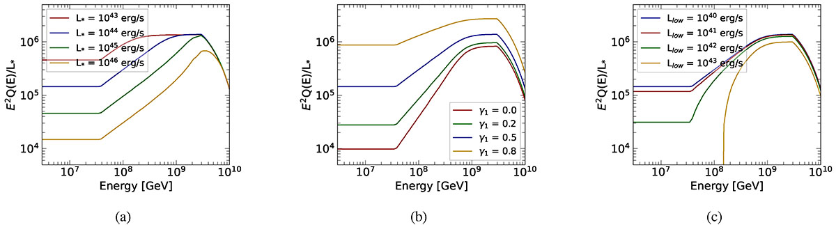
Fig. 4. Refer to the following caption and surrounding text.

Download original image

Proton emissivity calculated from Eq. (17), considering a broken power-law luminosity function (Eq. (19)) with γ2 = 2.5. Panel a: Different positioning of ℒ*; the low luminosity index is γ1 = 0.5. Panel b: Different low-luminosity behavior; the positioning of the break is fixed at ℒ* = 1044 erg/s. Panel c: Different choices of ℒlow; the position of the break is ℒ* = 1044 erg/s and the slope is γ1 = 0.5.

Current usage metrics show cumulative count of Article Views (full-text article views including HTML views, PDF and ePub downloads, according to the available data) and Abstracts Views on Vision4Press platform.

Data correspond to usage on the plateform after 2015. The current usage metrics is available 48-96 hours after online publication and is updated daily on week days.

Initial download of the metrics may take a while.