Open Access

Fig. 10.

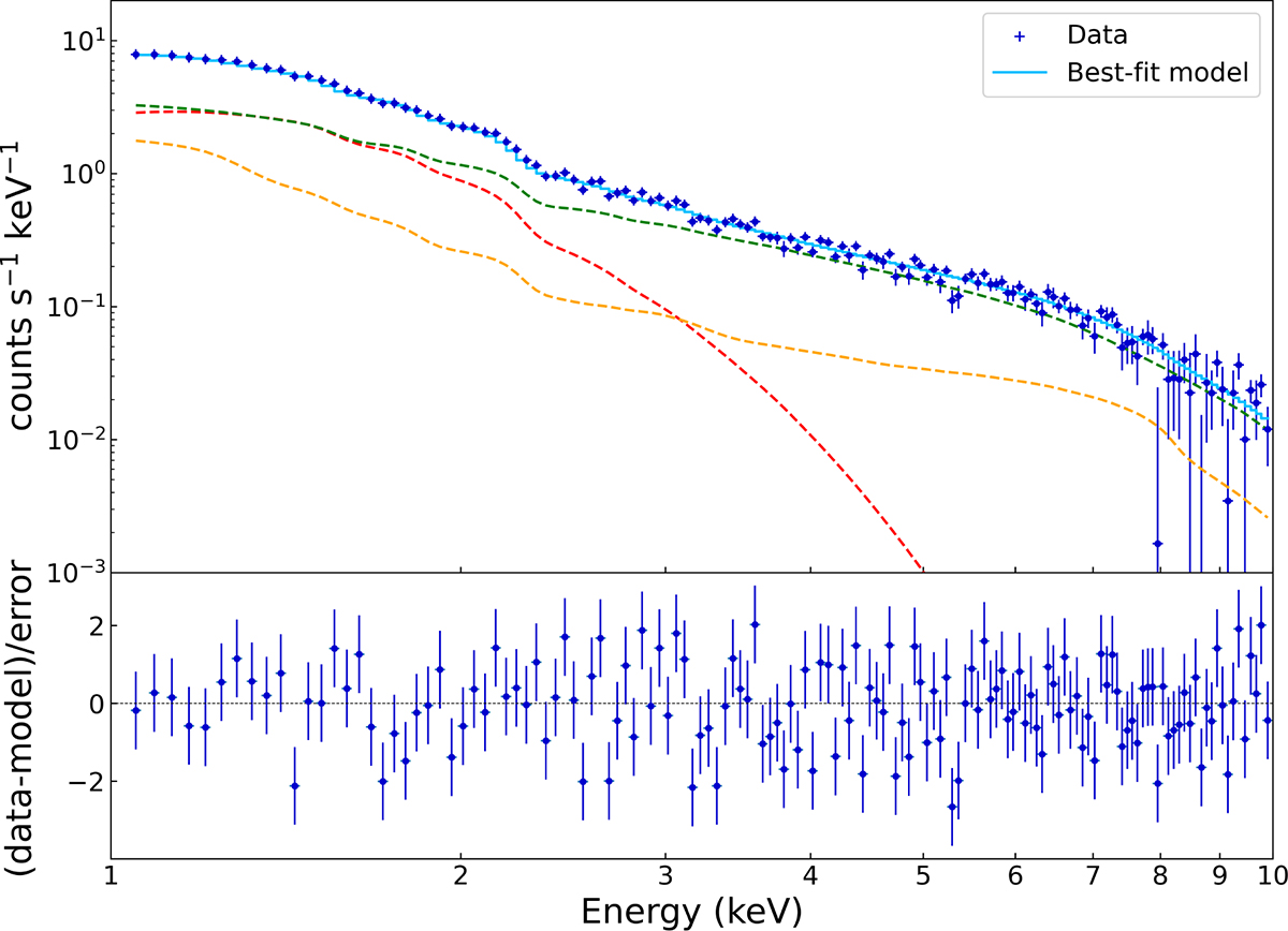
Fig. 10. Refer to the following caption and surrounding text.

Download original image

XMM-Newton/EPIC-pn spectrum (1.0–10 keV) of low part of light curve of SAX J1808 (top) and residuals with respect to best-fit model plotted with a solid line and given in Table 2. The fit model is TBabs*(bbodyrad + nthComp + rdblur*rfxconv*nthComp). The model components are also plotted as dashed lines, with the same color-coding as in Fig. 9.

Current usage metrics show cumulative count of Article Views (full-text article views including HTML views, PDF and ePub downloads, according to the available data) and Abstracts Views on Vision4Press platform.

Data correspond to usage on the plateform after 2015. The current usage metrics is available 48-96 hours after online publication and is updated daily on week days.

Initial download of the metrics may take a while.