Open Access

Fig. B.2.

Fig. B.2. Refer to the following caption and surrounding text.

Download original image

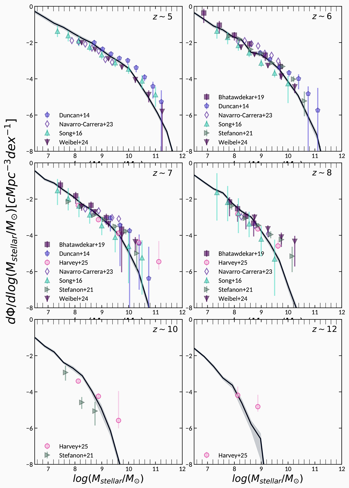
Stellar mass function of the fiducial model for redshifts 5, 6, 7, 8, 10 and 12. Observational data comes from Duncan et al. 2014; Song et al. 2016; Bhatawdekar et al. 2019; Stefanon et al. 2021; Navarro-Carrera et al. 2024; Harvey et al. 2025.

Current usage metrics show cumulative count of Article Views (full-text article views including HTML views, PDF and ePub downloads, according to the available data) and Abstracts Views on Vision4Press platform.

Data correspond to usage on the plateform after 2015. The current usage metrics is available 48-96 hours after online publication and is updated daily on week days.

Initial download of the metrics may take a while.