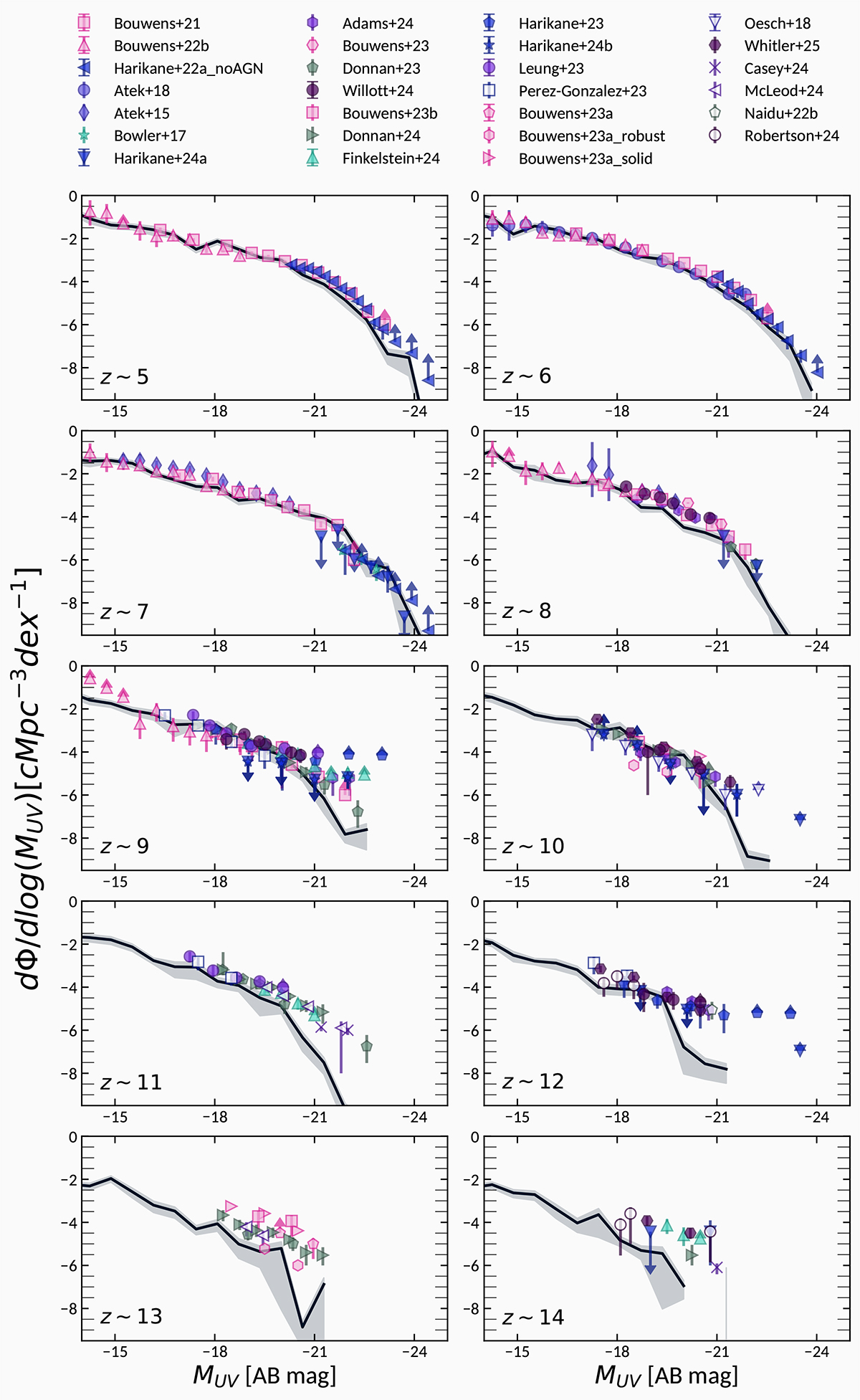
Fig. B.3.
Download original image
UV luminosity function of the fiducial model for redshifts 5 to 14. Observational data come from Bouwens et al. (2022, 2021, 2023), Harikane et al. (2022, 2023a, 2024), Pérez-González et al. (2023), Atek et al. (2015, 2018), Oesch et al. (2018), Adams et al. (2022), Donnan et al. (2022, 2024), Bowler et al. (2017), Willott et al. (2024), Naidu et al. (2022), McLeod et al. (2024), Robertson et al. (2024), Whitler et al. (2025), Leung et al. (2023), Adams et al. (2024), Casey et al. (2024).
Current usage metrics show cumulative count of Article Views (full-text article views including HTML views, PDF and ePub downloads, according to the available data) and Abstracts Views on Vision4Press platform.
Data correspond to usage on the plateform after 2015. The current usage metrics is available 48-96 hours after online publication and is updated daily on week days.
Initial download of the metrics may take a while.