Open Access

Fig. 4.

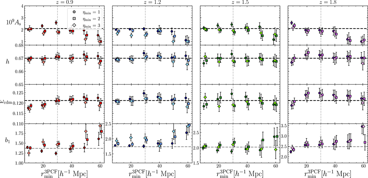
Fig. 4. Refer to the following caption and surrounding text.

Download original image

Marginalised constraints on the cosmological parameters and linear bias from a joint 2PCF and 3PCF analysis. The posterior mean along with its uncertainties is displayed as a function of the minimal scale ( r min 3 PCF Mathematical equation: $ r_\mathrm{{min}}^\mathrm{{\,3PCF}} $) for different choices of ηmin and fixing r min 2 PCF = 25 h 1 Mpc Mathematical equation: $ r_\mathrm{{min}}^\mathrm{{\,2PCF}}=25\, h^{-1} \, \mathrm{{Mpc}} $ and rmax = 140 h−1 Mpc for both statistics. The dashed black line refers to the fiducial values assumed in the simulation, while the dashed grey line refers to the fiducial b1 adopted in Euclid Collaboration: Pezzotta et al. (2024), also shown in Fig. 3.

Current usage metrics show cumulative count of Article Views (full-text article views including HTML views, PDF and ePub downloads, according to the available data) and Abstracts Views on Vision4Press platform.

Data correspond to usage on the plateform after 2015. The current usage metrics is available 48-96 hours after online publication and is updated daily on week days.

Initial download of the metrics may take a while.