Open Access

Fig. 5.

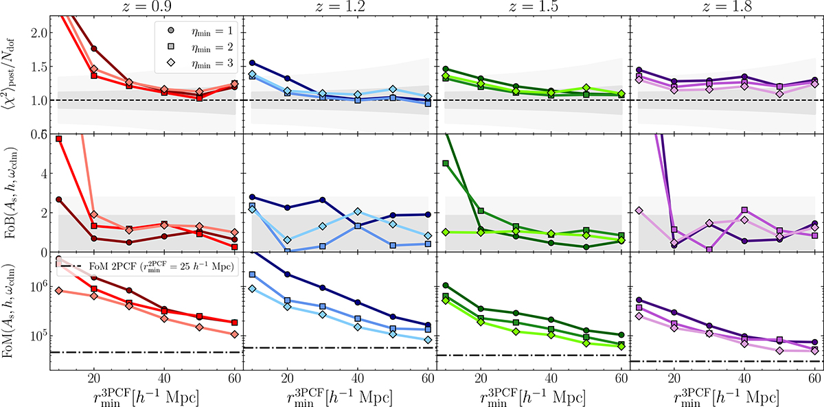
Fig. 5. Refer to the following caption and surrounding text.

Download original image

Performance metrics for the full-shape, joint analysis of the 2PCF and the 3PCF. All quantities are shown as a function of the minimal scale ( r min 3 PCF Mathematical equation: $ r_\mathrm{{min}}^\mathrm{{\,3PCF}} $), with r min 2 PCF Mathematical equation: $ r^{\mathrm{2PCF}}_{\mathrm{min}} $ fixed at 25 h−1 Mpc, and for the three different values of ηmin in different colour shades. From top to bottom we show the posterior-averaged ⟨χ2post for the GoF, the FoB, and the FoM, these last two both defined in terms of the three cosmological parameters As, ωcdm, and h. The grey bands denote the 68% and 99.7% confidence levels for the χ2 distribution and the FoB.

Current usage metrics show cumulative count of Article Views (full-text article views including HTML views, PDF and ePub downloads, according to the available data) and Abstracts Views on Vision4Press platform.

Data correspond to usage on the plateform after 2015. The current usage metrics is available 48-96 hours after online publication and is updated daily on week days.

Initial download of the metrics may take a while.