Open Access

Fig. 6

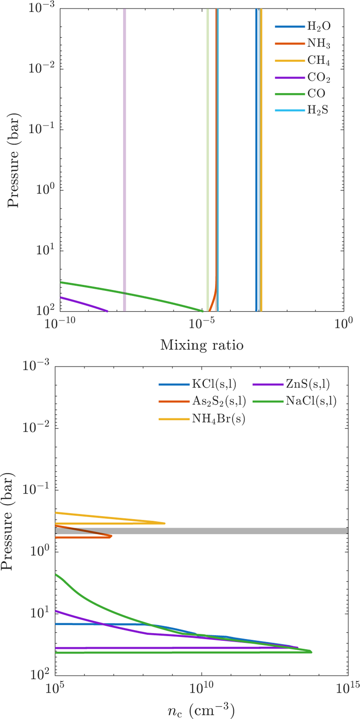
Fig. 6 Refer to the following caption and surrounding text.

Download original image

Chemical composition for Y1 dwarf WISEPAJ1541-22 calculated with FastChem. The upper panel shows the volume mixing ratios of major gas-phase species. Retrieved abundances from the BeAR retrieval and their 1σ confidence intervals are depicted by the shaded areas. Stable condensates are shown in the lower panel. Their number densities, nc, refer to the effective molecule number contained in the condensed phase and do not correspond to an actual cloud particle number density. The cloud top position and its 1σ confidence interval constrained by the retrieval calculations (pt=0.470.06+0.04Mathematical equation: $p_{\mathrm{t}} = 0.47_{-0.06}^{+0.04}$ bar) are marked by the horizontal gray area. We note that the corresponding cloud bottom pressure (pb=1.550.21+0.16Mathematical equation: $p_{\mathrm{b}} = 1.55_{-0.21}^{+0.16}$ bar) lies approximately one atmospheric scale height beneath the cloud top pressure.

Current usage metrics show cumulative count of Article Views (full-text article views including HTML views, PDF and ePub downloads, according to the available data) and Abstracts Views on Vision4Press platform.

Data correspond to usage on the plateform after 2015. The current usage metrics is available 48-96 hours after online publication and is updated daily on week days.

Initial download of the metrics may take a while.