Open Access

Fig. D.1.

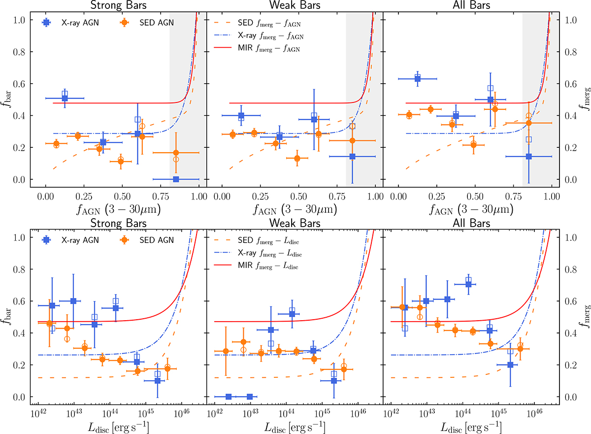
Fig. D.1. Refer to the following caption and surrounding text.

Download original image

Bar fraction, fbar, as a function of fAGN(3–30 μm) (top) and Ldisc (bottom) revised after including major mergers in the analysis. Markers and lines follow the same style as Figures 13 and 15. Empty symbols show the results presented in Figures 13 and 15.

Current usage metrics show cumulative count of Article Views (full-text article views including HTML views, PDF and ePub downloads, according to the available data) and Abstracts Views on Vision4Press platform.

Data correspond to usage on the plateform after 2015. The current usage metrics is available 48-96 hours after online publication and is updated daily on week days.

Initial download of the metrics may take a while.