Open Access

Fig. 14.

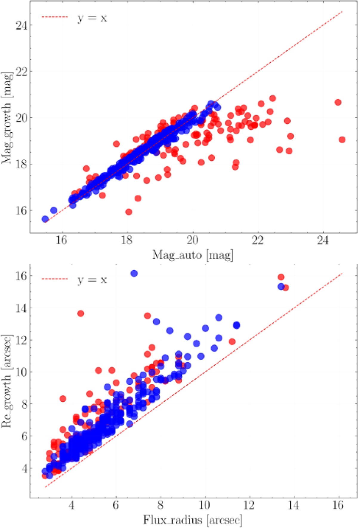
Fig. 14. Refer to the following caption and surrounding text.

Download original image

Comparison of structural parameters (Mag and Re) between the HQ UDG candidates and their counterparts in the KiDS DR5 catalog. Top: The total r-band magnitudes derived from our growth curve method versus the KiDS catalog mag_auto values. Bottom: Re estimated from our growth curve compared with the KiDS catalog flux_radius. Red points indicate systems with large photometric uncertainties (> 0.33 mag).

Current usage metrics show cumulative count of Article Views (full-text article views including HTML views, PDF and ePub downloads, according to the available data) and Abstracts Views on Vision4Press platform.

Data correspond to usage on the plateform after 2015. The current usage metrics is available 48-96 hours after online publication and is updated daily on week days.

Initial download of the metrics may take a while.