Open Access

Fig. 9

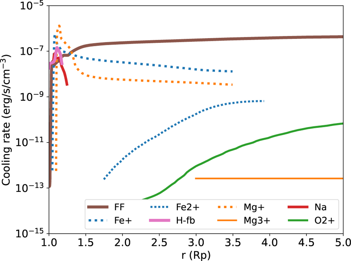
Fig. 9 Refer to the following caption and surrounding text.

Download original image

Radial profile of the cooling rate of the Z = 10 Z case from the post-processing calculation. Only cooling processes with a fraction greater than 0.1 are shown. However, other minor cooling processes not shown in the figure have been included in our calculations. Free-free and free-bound cooling are also shown.

Current usage metrics show cumulative count of Article Views (full-text article views including HTML views, PDF and ePub downloads, according to the available data) and Abstracts Views on Vision4Press platform.

Data correspond to usage on the plateform after 2015. The current usage metrics is available 48-96 hours after online publication and is updated daily on week days.

Initial download of the metrics may take a while.