Highlight
Open Access

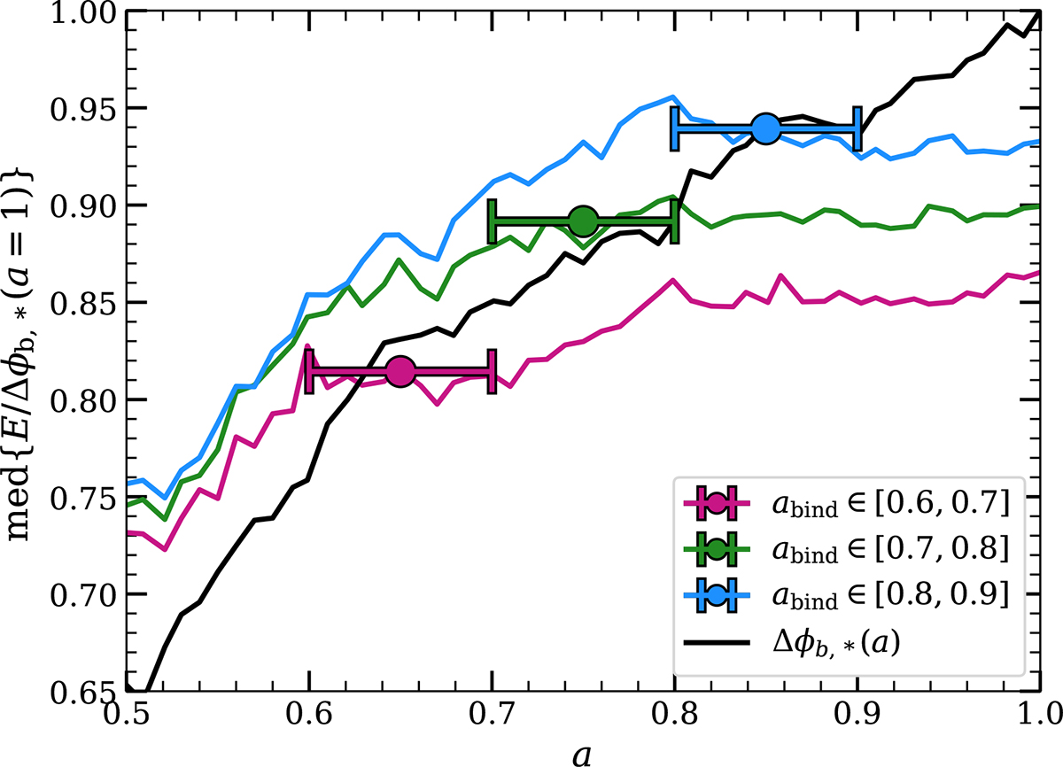
Fig. 4.

Fig. 4. Refer to the following caption and surrounding text.

Download original image

Median energy histories of three sets of particles from a sample of 100 haloes with masses M bound [ 0.5 · 10 14 h 1 M , 1.5 · 10 14 h 1 M ] Mathematical equation: $ M_{\mathrm{bound}}\in [0.5\cdot 10^{14}\,h^{-1}\,\mathrm{M}_{\odot}, 1.5\cdot 10^{14}\,h^{-1}\,\mathrm{M}_{\odot}] $, selected according to their respective time of binding. The individual energy histories of particles from different haloes are normalised by the persistence Δϕb(a = 1) of the host halo before the median is computed. The median persistence history of the sample of haloes is shown in black.

Current usage metrics show cumulative count of Article Views (full-text article views including HTML views, PDF and ePub downloads, according to the available data) and Abstracts Views on Vision4Press platform.

Data correspond to usage on the plateform after 2015. The current usage metrics is available 48-96 hours after online publication and is updated daily on week days.

Initial download of the metrics may take a while.