Highlight
Open Access

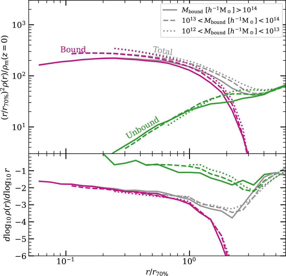
Fig. 7.

Fig. 7. Refer to the following caption and surrounding text.

Download original image

Upper panel: Median matter density profiles of haloes split into bound (pink), unbound (green), and all (grey) particles using STRAWBERRY for all haloes in three mass bins. Lower panel: Median logarithmic derivative of the matter density profile split into bound (pink), unbound (green), and all (grey) particles using STRAWBERRY for three mass bins. The axes are normalised with respect to the radius, r70%, containing 70% of the bound mass. The bound and total profiles are cut at six times the softening length of the simulation. The unbound profiles are only shown for bins containing more than ten particles.

Current usage metrics show cumulative count of Article Views (full-text article views including HTML views, PDF and ePub downloads, according to the available data) and Abstracts Views on Vision4Press platform.

Data correspond to usage on the plateform after 2015. The current usage metrics is available 48-96 hours after online publication and is updated daily on week days.

Initial download of the metrics may take a while.