Open Access

Fig. 10.

Fig. 10. Refer to the following caption and surrounding text.

Download original image

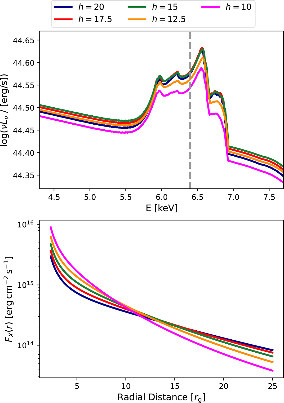
Top panel shows the variation of the Fe Kα profile with the lamp height. The other parameters are set to their canonical values as shown in Table 2. The bottom panel shows the illuminating X-ray flux radial profiles, varying with the lamp height. The height is in units of rg given in the box above panels.

Current usage metrics show cumulative count of Article Views (full-text article views including HTML views, PDF and ePub downloads, according to the available data) and Abstracts Views on Vision4Press platform.

Data correspond to usage on the plateform after 2015. The current usage metrics is available 48-96 hours after online publication and is updated daily on week days.

Initial download of the metrics may take a while.